Foram encontradas 194 questões.
- Fundamentos
- EletromagnetismoMagnetismoCampo e Força Magnética
- OndulatóriaOndas e Propriedades Ondulatórias
- Mecânica ClássicaCinemáticaCinemática VetorialVetores
Texto e figura para as questões 3 e 4

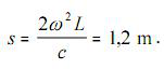
A figura acima representa a componente elétrica E (com
direção
) de uma onda eletromagnética se propagando na direção
de
, sentido positivo, com velocidade c. A onda que encontra em
sua trajetória uma carga elétrica livre de valor +q e massa m,
inicialmente localizada sobre o eixo x. Os vetores unitários
, 
e referem-se, respectivamente, aos eixos x, y e z do sistema de
coordenadas cartesianas.
Na situação descrita, a direção do vetor de Poynting H e a da componente magnética B da onda eletromagnética são dadas, respectivamente, por
A figura acima representa a componente elétrica E (com
direção
de
sua trajetória uma carga elétrica livre de valor +q e massa m,
inicialmente localizada sobre o eixo x. Os vetores unitários
e referem-se, respectivamente, aos eixos x, y e z do sistema de
coordenadas cartesianas.
Provas
Questão presente nas seguintes provas
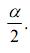
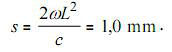
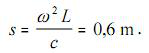
Texto e figura para as questões 1 e 2

A figura acima esquematiza o experimento de Foucault
para a medida da velocidade da luz. O experimento é constituído de
um espelho rotatório que gira com velocidade angular ? igual a
6 × 103 rad/s, no qual incide um feixe de luz proveniente de A, que
é desviado para um espelho esférico E localizado a uma distância
L igual a 5 m. O feixe refletido pelo espelho E incide sobre o
espelho rotatório em outra posição e é refletido novamente
atingindo o ponto B, a uma distância s (considerando uma reta) do
ponto A.
No experimento esquematizado, e assumindo c = 3 × 108 m/s (velocidade da luz), o deslocamento s percorrido pelo feixe luminoso satisfaz à condição
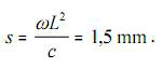
A figura acima esquematiza o experimento de Foucault
para a medida da velocidade da luz. O experimento é constituído de
um espelho rotatório que gira com velocidade angular ? igual a
6 × 103 rad/s, no qual incide um feixe de luz proveniente de A, que
é desviado para um espelho esférico E localizado a uma distância
L igual a 5 m. O feixe refletido pelo espelho E incide sobre o
espelho rotatório em outra posição e é refletido novamente
atingindo o ponto B, a uma distância s (considerando uma reta) do
ponto A.
Provas
Questão presente nas seguintes provas
Texto e figura para as questões 1 e 2

A figura acima esquematiza o experimento de Foucault
para a medida da velocidade da luz. O experimento é constituído de
um espelho rotatório que gira com velocidade angular ? igual a
6 × 103 rad/s, no qual incide um feixe de luz proveniente de A, que
é desviado para um espelho esférico E localizado a uma distância
L igual a 5 m. O feixe refletido pelo espelho E incide sobre o
espelho rotatório em outra posição e é refletido novamente
atingindo o ponto B, a uma distância s (considerando uma reta) do
ponto A.
Na situação descrita, o ângulo ß é igual a
A figura acima esquematiza o experimento de Foucault
para a medida da velocidade da luz. O experimento é constituído de
um espelho rotatório que gira com velocidade angular ? igual a
6 × 103 rad/s, no qual incide um feixe de luz proveniente de A, que
é desviado para um espelho esférico E localizado a uma distância
L igual a 5 m. O feixe refletido pelo espelho E incide sobre o
espelho rotatório em outra posição e é refletido novamente
atingindo o ponto B, a uma distância s (considerando uma reta) do
ponto A.
Provas
Questão presente nas seguintes provas
Segundo Tadeu Chiarelli, em grande parte das pinturas de Portinari, o artista não está preocupado em retratar um brasileiro, mas “o” brasileiro. Ao superar a pintura regionalista que antecede o Modernismo, Portinari produziu uma obra que tem caráter nacional e moderno, não apenas pelos temas tratados, mas também por questões plásticas. Nos quadros O Mestiço e Lavrador de Café (ambos de 1934), os personagens são pintados em composições monumentais em que predominam os tons de marrom da paisagem e se destacam os campos cultivados ao fundo. Também no quadro Café (1934), a figura humana adquire formas escultóricas robustas, com o agigantamento das mãos e dos pés, recurso que reforça a ligação dos personagens com o mundo do trabalho e da terra. Portinari produziu um conjunto de afrescos para o Ministério da Educação e Cultura (MEC) entre 1936 e 1938, em que tratou da temática relativa aos ciclos econômicos do Brasil. Nessas obras, o artista utilizou recursos derivados da poética desenvolvida no Renascimento italiano. Sua admiração pela obra de Piero della Francesca pode ser observada nos gestos imobilizados dos personagens e no desdobramento da figura em vários momentos do trabalho.
Internet: < www.itaucultural.org.br > (com adaptações).
Infere-se do texto acima que Portinari, em suas composições,
Internet: < www.itaucultural.org.br > (com adaptações).
Infere-se do texto acima que Portinari, em suas composições,
Provas
Questão presente nas seguintes provas

O anúncio publicitário reproduzido acima constitui uma forma criativa de
Provas
Questão presente nas seguintes provas

Assinar um contrato sem entender é como assinar um contrato em branco.
Verifique, observe, pense bem.
Analise o contrato para certificar-se de que ele está de acordo com o que você quer.
Veja, 22/12/2010, p. 58.
O texto acima apresenta
Provas
Questão presente nas seguintes provas

Em face dessa situação hipotética, é correto afirmar que a preocupação do professor e o modo como organizou o trabalho pedagógico exemplificam a tendência pedagógica
Provas
Questão presente nas seguintes provas
Adotar o trabalho como princípio educativo implica entendê-lo como
Provas
Questão presente nas seguintes provas
A educação inclusiva tornou-se uma das preocupações das políticas educacionais em todo o mundo a partir da segunda metade da última década do século passado, com a difusão da Declaração de Salamanca. Com base nesse documento, assinale a opção correta.
Provas
Questão presente nas seguintes provas
A respeito de bullying, assinale a opção correta.
Provas
Questão presente nas seguintes provas
Cadernos
Caderno Container