Foram encontradas 194 questões.
1045061
Ano: 2011
Disciplina: Espanhol (Língua Espanhola)
Banca: CESPE / CEBRASPE
Orgão: SEE-BA
Disciplina: Espanhol (Língua Espanhola)
Banca: CESPE / CEBRASPE
Orgão: SEE-BA
Provas:

Provas
Questão presente nas seguintes provas
1045060
Ano: 2011
Disciplina: Espanhol (Língua Espanhola)
Banca: CESPE / CEBRASPE
Orgão: SEE-BA
Disciplina: Espanhol (Língua Espanhola)
Banca: CESPE / CEBRASPE
Orgão: SEE-BA
Provas:

Provas
Questão presente nas seguintes provas
1045059
Ano: 2011
Disciplina: Espanhol (Língua Espanhola)
Banca: CESPE / CEBRASPE
Orgão: SEE-BA
Disciplina: Espanhol (Língua Espanhola)
Banca: CESPE / CEBRASPE
Orgão: SEE-BA
Provas:

Provas
Questão presente nas seguintes provas
- Mecânica ClássicaDinâmicaTrabalho, Energia e Potência
- Mecânica ClássicaGravitação UniversalForça Gravitacional e Satélites
- Mecânica ClássicaGravitação UniversalLeis de Kepler

A figura acima representa uma situação em que um pequeno asteroide é capturado pelo campo gravitacional do Sol e passa a orbitá-lo circularmente.
Provas
Questão presente nas seguintes provas

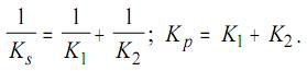
Na figura acima, estão representados dois esquemas de associação de molas: o primeiro é uma associação em série e o segundo, uma associação em paralelo. K1 e K2 são as constantes elásticas das duas molas associadas. Considerando que e Ks e Kp sejam as constantes elásticas equivalentes da associação em série e da associação em paralelo, respectivamente, então elas satisfazem às seguintes condições:
Provas
Questão presente nas seguintes provas

O esquema acima representa dois corpos de massa m e M ligados por um fio ideal que passa por uma polia de massa desprezível. Essa configuração de massas e polias é denominada máquina de Atwood. Considere que M = 2m, que o fio está submetido a uma tensão T e que a aceleração da gravidade, g, é igual a 10,0 m/s 2 .
Nessas condições, o módulo da aceleração dos corpos, em m/s 2 , será aproximadamente igual a
Provas
Questão presente nas seguintes provas

A figura acima representa um mecanismo hidráulico ideal e isolado.
Uma força constante
Provas
Questão presente nas seguintes provas

Considere que um gás ideal tenha sido levado de um estado inicial i até um estado final f por meio de três processos diferentes, conforme ilustrados na figura acima. A temperatura no estado i é T e, no estado f, é igual a T + Δ T. Considere, ainda, que, para os processos 1, 2 e 3, a variação da energia interna associada a cada um deles seja, respectivamente, igual a ΔE1, ΔE2 e ΔE3.
Nessas condições,
Provas
Questão presente nas seguintes provas
Considere que
sejam equações de duas vibrações harmônicas simples perpendiculares, e que a superposição dessas vibrações seja representada pela seguinte expressão.

Suponha que essa relação matemática descreva os estados de polarização de uma radiação luminosa, com intensidade
que se propaga na direção z e que pode interagir com outros elementos óticos. Com base nessas informações, assinale a opção correta.

Suponha que essa relação matemática descreva os estados de polarização de uma radiação luminosa, com intensidade
Provas
Questão presente nas seguintes provas
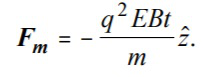
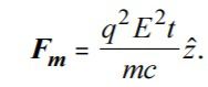
Texto e figura para as questões 3 e 4

A figura acima representa a componente elétrica E (com
direção
) de uma onda eletromagnética se propagando na direção
de
, sentido positivo, com velocidade c. A onda que encontra em
sua trajetória uma carga elétrica livre de valor +q e massa m,
inicialmente localizada sobre o eixo x. Os vetores unitários
, 
e referem-se, respectivamente, aos eixos x, y e z do sistema de
coordenadas cartesianas.
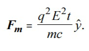
Considerando que, na situação descrita no texto, no instante t, a carga q ainda se encontra na presença dos campos elétrico e magnético e que t = 0 é o instante em que a onda atinge a carga, a força magnética Fm que atua nessa carga é dada por
A figura acima representa a componente elétrica E (com
direção
de
sua trajetória uma carga elétrica livre de valor +q e massa m,
inicialmente localizada sobre o eixo x. Os vetores unitários
e referem-se, respectivamente, aos eixos x, y e z do sistema de
coordenadas cartesianas.
Provas
Questão presente nas seguintes provas
Cadernos
Caderno Container