Foram encontradas 80 questões.

Com relação as afirmações acima podemos concluir que
Provas
Tomando um baralho de 52 cartas, a probabilidade de retirarmos, aleatoriamente, uma carta de paus é
Provas
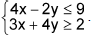
Assinale, entre os pontos abaixo, aquele que satisfaz ao seguinte sistema de inequações: 
Provas
Apesar de ser um dos mais famosos matemáticos Bhaskara, que viveu no séc. XII, não contribuiu diretamente na elaboração da fórmula que leva seu nome. Na história da Matemática podemos encontrar egípcios, babilônios, gregos, outros hindus e chineses. Entre eles podemos destacar, Euclides, Diophanto, Al-Khowârizmî, Zhu Shijie (também chamado Chu Shih-Chieh).
No século XIX o método foi redescoberto por Willian George Horner e Theophilus Holdred e, um pouco antes por Paolo Ruffini. O que ficou conhecido como método de Horner, já tinha sido antecipado por Isaac Newton em 1669. No século XVI, François Viéte utilizou-se de simbolismo para representar esse processo.
A contribuição atribuída a Bhaskara serve para
Provas

Nas condições dadas, a área do quadrilátero, em cm2, é
Provas

Seguindo as mesmas instruções do professor, encontrando os valores de b e c no terno pitagórico (11, b, c), é correto dizer que b + c é igual a
Provas
Dados, num plano cartesiano, as coordenadas dos vértices de um triângulo retângulo, a demonstração de que o ponto médio da hipotenusa está a uma mesma distância de cada um dos vértices deste triângulo envolve apenas o uso
Provas
Assinale, entre as construções sugeridas abaixo, aquela que não se consegue executar com o uso de uma régua não graduada e de um compasso.
Provas
Se os cientistas desenrolarem e unirem todos os cordões do DNA contidos em uma célula o tamanho total chegaria a 186 cm. Sabe-se que um ser humano possui em torno de 100 trilhões de células. Qual o comprimento de todos os cordões unidos contidos nas células de um ser humano?
Provas
Quando consideramos um bloco preso ao teto através de uma mola e fazemos uma perturbação de modo que este comece a oscilar para cima e para baixo de forma periódica, podemos modelar o movimento do bloco em um intervalo de tempo curto através de uma função trigonométrica. O gráfico abaixo se refere à modelagem de oscilação de um bloco preso ao teto através de uma mola. Nele h é a posição do bloco em relação ao teto, em centímetros, e t o instante, em segundos (t = 0 s indica o sistema mola/bloco antes da perturbação).

Analisando a situação é correto afirmar que a distância máxima atingida pelo bloco em relação ao teto é de
Provas
Caderno Container