Foram encontradas 467 questões.
Uma das substâncias empregadas em adoçantes comercializados no país é o aspartame, cuja fórmula estrutural plana é dada a seguir. Com base nessa fórmula, responda às questões de números 21 a 25.

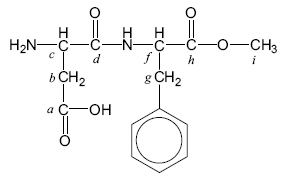
Em relação ao caráter ácido/básico, o aspartame pode ser classificado como uma substância
Provas
Uma das substâncias empregadas em adoçantes comercializados no país é o aspartame, cuja fórmula estrutural plana é dada a seguir. Com base nessa fórmula, responda às questões de números 21 a 25.

Provas
Uma das substâncias empregadas em adoçantes comercializados no país é o aspartame, cuja fórmula estrutural plana é dada a seguir. Com base nessa fórmula, responda às questões de números 21 a 25.

O número total de átomos de carbono com hibridação tipo sp2 é
Provas
Uma das substâncias empregadas em adoçantes comercializados no país é o aspartame, cuja fórmula estrutural plana é dada a seguir. Com base nessa fórmula, responda às questões de números 21 a 25.

Encontra-se função éster no s) carbono s) representado s) pela s) letra s)
Provas

As noções de flexão nominal e verbal dizem respeito à dimensão textual que a autora chama de aspecto
Provas

Quanto às funções da linguagem, é correto afirmar que no texto de Maria da Graça Costa Val predominam as funções
Provas

Ainda com relação ao ensino-aprendizagem da leitura e da escrita, é correto afirmar que
Provas

Provas

São características da língua escrita padrão:
Provas

Em relação ao ensino da modalidade oral da língua, segundo os Parâmetros Curriculares Nacionais, os professores de português devem
Provas
Caderno Container