Magna Concursos

Foram encontradas 467 questões.

1669969 Ano: 2008
Disciplina: Física
Banca: FADESP
Orgão: SEDUC-PA
Provas:
Para mostrar a seus alunos o funcionamento de aparelhos elétricos em circuitos, um professor faz uma montagem em série de duas lâmpadas incandescentes, dessas que se encontram nos supermercados, uma de 60W/120 e outra de 100W/120 , ligando-as na tomada de 120 da sala de aula. Ao fazer isso, os alunos deverão explicar que a lâmpada que acenderá com maior brilho será a de
 

Provas

Questão presente nas seguintes provas
1669968 Ano: 2008
Disciplina: Física
Banca: FADESP
Orgão: SEDUC-PA
Provas:

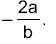
Uma partícula está no interior de um campo de forças conservativo. Se a energia potencial da partícula nesse campo varia segundo

enunciado 1669968-1

onde x é a posição da partícula e a, b e c são constantes positivas, a posição de equilíbrio dessa partícula é dada por:

 

Provas

Questão presente nas seguintes provas
1669967 Ano: 2008
Disciplina: Física
Banca: FADESP
Orgão: SEDUC-PA
Provas:
Em uma amostra radioativa, chama-se Vida-Média o (a)
 

Provas

Questão presente nas seguintes provas
1669966 Ano: 2008
Disciplina: Física
Banca: FADESP
Orgão: SEDUC-PA
Provas:

Leia a descrição dos experimentos seguintes:

EXPERIMENTO 1 – Um feixe de elétrons é lançado com velocidade perpendicularmente às linhas de força de um campo elétrico.

EXPERIMENTO 2 – Um feixe de elétrons é lançado com velocidade perpendicularmente às linhas de força de um campo magnético.

Se ambos os experimentos forem realizados sob condições que permitam a visualização das trajetórias dos elétrons, a constatação das trajetórias, nos dois casos, terá a seguinte explicação:

 

Provas

Questão presente nas seguintes provas
1669965 Ano: 2008
Disciplina: Física
Banca: FADESP
Orgão: SEDUC-PA
Provas:

De acordo com a concepção einsteniana, se um objeto passar a se mover muito rapidamente em relação a um observador, este observará que aquele

 

Provas

Questão presente nas seguintes provas
1669964 Ano: 2008
Disciplina: Física
Banca: FADESP
Orgão: SEDUC-PA
Provas:

A teoria do Big Bang, desenvolvida para explicar a origem do universo, tem-se mostrado coerente com as medidas astronômicas que as recentes tecnologias têm possibilitado. A Lei de Hubble, uma descoberta que parece confirmar aquela teoria, afirma que

 

Provas

Questão presente nas seguintes provas
1669963 Ano: 2008
Disciplina: Física
Banca: FADESP
Orgão: SEDUC-PA
Provas:

O efeito Compton

 

Provas

Questão presente nas seguintes provas
1669962 Ano: 2008
Disciplina: Física
Banca: FADESP
Orgão: SEDUC-PA
Provas:

Entre a visão quântica de Bohr acerca do átomo e o modelo orbital dos satélites gravitacionais, há uma semelhança essencial produzida pelo fato de que, em ambas as situações, o movimento é ordenado por uma força central inversamente proporcional ao quadrado da distância, porém, uma diferença fundamental entre os dois modelos reside no fato de que os

 

Provas

Questão presente nas seguintes provas
1669961 Ano: 2008
Disciplina: Física
Banca: FADESP
Orgão: SEDUC-PA
Provas:

Colocar um gerador em curto-circuito equivale a

 

Provas

Questão presente nas seguintes provas
1669960 Ano: 2008
Disciplina: Física
Banca: FADESP
Orgão: SEDUC-PA
Provas:
Cordas vibrantes constituem fontes sonoras comuns no nosso cotidiano, mas é preciso estar atento ao fato de que, ao percutir, por exemplo, a corda Mi de um violão, o bordão, como é chamada, ela vibra com
 

Provas

Questão presente nas seguintes provas