Foram encontradas 467 questões.

Répondez aux questions de 21 à 31 d''après le Texte I.
Pour William J. Sommern, la procrastination
Provas

Répondez aux questions de 21 à 31 d''après le Texte I.
« Des chercheurs évaluent la proportion de 'procrastinateurs' chroniques et problématiques à environ 20 % de la population ». Cela veut dire que chez ces individus la procrastination est
Provas

Répondez aux questions de 21 à 31 d''après le Texte I.
Des élèves perfectionnistes peuvent devenir procrastinateurs parce que
Provas

Répondez aux questions de 21 à 31 d''après le Texte I.
D''après le texte, la procrastination
Provas

Répondez aux questions de 21 à 31 d''après le Texte I.
Le texte est plutôt
Provas
A compreensão da constituição da atmosfera dos planetas está estreitamente ligada à impossibilidade de as moléculas escaparem do campo gravitacional por eles produzido, o que nos permite formular um modelo simples, comparando a velocidade média quadrática das moléculas de certo gás, na temperatura absoluta T da atmosfera do planeta, com a velocidade de escape do campo gravitacional deste.
Utilizando esse modelo, pode-se estimar que o raio mínimo que deve ter um determinado planeta, de densidade ρ, para que sua atmosfera possa conter um gás de massa molecular M, é dado por
Provas
Provas
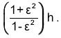
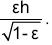
Uma bola, largada de uma altura h acima de um piso, com o qual o coeficiente de restituição é ε, colide sucessivas vezes com esse piso. Admitindo-se a homogeneidade da bola e do piso, de modo que as restituições sejam verticais, a distância total que a bola percorrerá até parar sobre o piso será
Provas
Na reação de fusão nuclear 1H2 + 1H3 → 0n1 + 2He4 + 14,0 MeV, trítios são bombardeados por dêuterons com 2,0 Me , resultando no espalhamento de nêutrons, perpendiculares à direção original dos dêuterons, e partículas alfa, liberando 14,0 Me de energia. A energia com que as partículas alfa serão emitidas, em Me , será igual a
Provas
A fotossíntese ocorrida nas florestas é o processo natural mais importante para a fixação do dióxido de carbono na Terra. Uma experiência de laboratório mostra que, ao iluminar-se um vegetal com luz de 500 nm, cada molécula de CO2 é reduzida por 10 fótons, na produção da glicose.

A quantidade de energia radiante necessária para produzir um mol de glicose na planta é, em Joule, aproximadamente
Provas
Caderno Container