Foram encontradas 50 questões.
Provas
Provas
Uma pessoa embrulhou três caixas de sapatos para presentear os seus familiares. Cada uma das caixas foi fechada com uma fita, conforme as figuras apresentadas a seguir.

As três caixas têm as mesmas dimensões, ou seja, 32 cm de comprimento, 20 cm de largura e 12 cm de altura. Considerando os dados apresentados, qual a quantidade de fita que foi gasta para fechar as três embalagens?
Provas
Provas
- FundamentosOperações Fundamentais
- GeometriaGeometria AnalíticaPontos, Retas e Planos
- GeometriaGeometria PlanaQuadriláteros
Provas
Após uma atividade em sala de aula envolvendo números primos, um estudante chegou à seguinte conclusão:
Todo número natural ímpar maior que dois pode ser escrito como a soma de dois números primos.
O número que pode ser considerado um contraexemplo para afirmação do estudante é
Provas
- GeometriaGeometria PlanaTriângulos
- GeometriaGeometria PlanaQuadriláteros
- GeometriaGeometria PlanaÁreas e Perímetros
Na figura abaixo, tem-se um quadrado ABCD com lado medindo 2 cm.

O ponto E é o ponto médio da diagonal AC e o ponto F é o ponto médio do segmento AE. Considerando-se esses dados, conclui-se que a área do triângulo ABF é
Provas
Provas
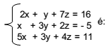
O livro Chui chang suan-shu ou Nove capítulos, escrito por volta de 250 a.C., é, segundo Boyer (1996), um dos livros mais importantes e influentes da história da Matemática chinesa e mundial. Nesta obra, encontram-se alguns diagramas que representam um sistema de equações lineares (Figura 1) e a sua respectiva solução (Figura 2).

Sabendo-se que os chineses efetuavam as operações sobre as colunas, o diagrama que representa a solução do sistema de equações

Provas
Em um concurso público para seleção de professores, compareceram 25 candidatos para realizar as provas. As notas dos candidatos foram as seguintes:
6; 7; 5; 4; 5; 4; 6; 4; 7; 8; 8; 7; 7; 5; 6; 6; 4; 7; 8; 5; 4; 7; 7; 6; 4
Sabendo-se que a nota de aprovação nesse concurso tem de ser maior que 6, qual é a frequência acumulada relativa da nota 6?
Provas
Caderno Container