Foram encontradas 1.350 questões.
Considerando que a inserção do Brasil na história mundial se deu a partir do processo de expansão comercial e marítima europeia do início da Idade Moderna e que a sua colonização se fez subordinada aos interesses da política econômica mercantilista conduzida por um Estado absolutista, julgue os itens seguintes.
Das revoltas que explodiram no Brasil durante o período regencial, apenas uma — a Cabanagem — não teve motivação de ordem social, visto que foi conduzida pela elite paraense.
Provas

No caso das vibrações sonoras em tubos de tamanho L, aberto em uma extremidade e fechado na outra, todos os harmônicos estão presentes.
Provas

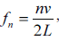
Uma corda vibrante de comprimento L, presa nas extremidades, apresenta um conjunto de n frequências naturais de vibração dadas por
, em que v é a velocidade de propagação da onda nessa corda.
Provas

Se a tensão em um fio vibrante for aumentada, o número de nodos aumenta.
Provas

A partir das informações acima, julgue os próximos itens.
O valor da força F0 é 10 vezes o valor da constante elástica k.
Provas

A partir das informações acima, julgue os próximos itens.
A constante elástica do sistema k é igual a 1 N/m.
Provas

A partir das informações acima, julgue os próximos itens.
A viscosidade do sistema (associada à constante b) não afeta a frequência de ressonância.
Provas

A partir das informações acima, julgue os próximos itens.
A largura de ressonância yA é maior que a largura de ressonância yB.
Provas

Considerando as informações acima e que, na equação, h é a constante de Planck e c é a velocidade da luz, julgue os itens subsequentes.
O espalhamento Compton não pode ser descrito pela teoria eletromagnética clássica.
Provas

Considerando as informações acima e que, na equação, h é a constante de Planck e c é a velocidade da luz, julgue os itens subsequentes.
Uma fonte tradicional de raios X que emite em um comprimento de onda
nm tem variação no seu comprimento de onda menor que 2%.
Provas
Caderno Container