Foram encontradas 890 questões.
- EletromagnetismoMagnetismoCampo e Força Magnética
- EletromagnetismoElétricaCircuitos Elétricos Especiais: Leis de Kirchhoff e Ponte de Wheatstone
- EletromagnetismoElétricaEletricidade

A figura precedente é constituída de um solenoide considerado ideal, de indutância L e n espiras por unidade de comprimento, conectado em série a um resistor R e a um capacitor carregado, de capacitância C. A carga no capacitor é q = Cε, em que ε é a voltagem máxima utilizada para carregar o circuito. Em t = 0, a chave é ligada.
Com base nessas informações, julgue o item subsecutivo.
O campo no interior do solenoide, em função da corrente i, é dado por B = μ0 n i, em que μ0 é a permeabilidade magnética do meio.
Provas
- EletromagnetismoMagnetismoCampo e Força Magnética
- EletromagnetismoElétricaCircuitos Elétricos Especiais: Leis de Kirchhoff e Ponte de Wheatstone
- EletromagnetismoElétricaEletricidade
- Mecânica ClássicaEstáticaMomento da Força e Equilíbrio e Alavancas

A figura precedente ilustra um experimento que permite medir a força magnética utilizando-se uma balança conhecida como balança de Roberval. O circuito mostrado nessa figura é constituído de uma fonte contínua de voltagem ε = 10 V, um resistor de R = 10 Ω, ligados em série a uma espira retangular com resistência nula. Na base da espira de largura L = 5 cm, está delineada uma região na qual atua um campo magnético de módulo B, com direção perpendicular à folha do papel. Quando a chave é ligada, uma corrente percorre a espira, e o efeito impulsiona a posição da massa localizada no braço esquerdo da balança a se deslocar para cima, no sentido vertical. Para retornar à situação original, é necessário adicionar uma pequena massa de 1 mg na balança.
Com base nessas informações, julgue os itens seguintes, considerando o valor da gravidade igual a 10 m/s2 e a carga do elétron igual a 1,6 × 10-19 C.
O campo magnético é igual a 3/2 T.
Provas
- EletromagnetismoMagnetismoCampo e Força Magnética
- Mecânica ClássicaEstáticaMomento da Força e Equilíbrio e Alavancas

A figura precedente ilustra um experimento que permite medir a força magnética utilizando-se uma balança conhecida como balança de Roberval. O circuito mostrado nessa figura é constituído de uma fonte contínua de voltagem ε = 10 V, um resistor de R = 10 Ω, ligados em série a uma espira retangular com resistência nula. Na base da espira de largura L = 5 cm, está delineada uma região na qual atua um campo magnético de módulo B, com direção perpendicular à folha do papel. Quando a chave é ligada, uma corrente percorre a espira, e o efeito impulsiona a posição da massa localizada no braço esquerdo da balança a se deslocar para cima, no sentido vertical. Para retornar à situação original, é necessário adicionar uma pequena massa de 1 mg na balança.
Com base nessas informações, julgue os itens seguintes, considerando o valor da gravidade igual a 10 m/s2 e a carga do elétron igual a 1,6 × 10-19 C.
O sentido em que a corrente percorre a espira é o horário.
Provas
- EletromagnetismoMagnetismoCampo e Força Magnética
- EletromagnetismoElétricaCircuitos Elétricos Especiais: Leis de Kirchhoff e Ponte de Wheatstone
- EletromagnetismoElétricaEletricidade
- Mecânica ClássicaEstáticaMomento da Força e Equilíbrio e Alavancas

A figura precedente ilustra um experimento que permite medir a força magnética utilizando-se uma balança conhecida como balança de Roberval. O circuito mostrado nessa figura é constituído de uma fonte contínua de voltagem ε = 10 V, um resistor de R = 10 Ω, ligados em série a uma espira retangular com resistência nula. Na base da espira de largura L = 5 cm, está delineada uma região na qual atua um campo magnético de módulo B, com direção perpendicular à folha do papel. Quando a chave é ligada, uma corrente percorre a espira, e o efeito impulsiona a posição da massa localizada no braço esquerdo da balança a se deslocar para cima, no sentido vertical. Para retornar à situação original, é necessário adicionar uma pequena massa de 1 mg na balança.
Com base nessas informações, julgue os itens seguintes, considerando o valor da gravidade igual a 10 m/s2 e a carga do elétron igual a 1,6 × 10-19 C.
Caso o circuito seja percorrido por uma corrente de 1 A, o número de elétrons que passam, em 1 segundo, por determinada região da espira é menor que 1019.
Provas
- EletromagnetismoMagnetismoCampo e Força Magnética
- EletromagnetismoElétricaCircuitos Elétricos Especiais: Leis de Kirchhoff e Ponte de Wheatstone
- EletromagnetismoElétricaEletricidade
- Mecânica ClássicaEstáticaMomento da Força e Equilíbrio e Alavancas

A figura precedente ilustra um experimento que permite medir a força magnética utilizando-se uma balança conhecida como balança de Roberval. O circuito mostrado nessa figura é constituído de uma fonte contínua de voltagem ε = 10 V, um resistor de R = 10 Ω, ligados em série a uma espira retangular com resistência nula. Na base da espira de largura L = 5 cm, está delineada uma região na qual atua um campo magnético de módulo B, com direção perpendicular à folha do papel. Quando a chave é ligada, uma corrente percorre a espira, e o efeito impulsiona a posição da massa localizada no braço esquerdo da balança a se deslocar para cima, no sentido vertical. Para retornar à situação original, é necessário adicionar uma pequena massa de 1 mg na balança.
Com base nessas informações, julgue os itens seguintes, considerando o valor da gravidade igual a 10 m/s2 e a carga do elétron igual a 1,6 × 10-19 C.
A corrente que percorre o circuito é de 1,5 amperes.
Provas

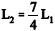
As figuras I e II precedentes esquematizam um experimento com tubos ressonantes. O alto-falante ilustrado na figura II selecionou uma mesma frequência de ressonância fundamental para os dois tubos mostrados na figura I: um tubo fechado em uma das extremidades com comprimento L1 e um tubo aberto em ambas as extremidades com comprimento L2. A partir dessas informações, julgue o item a seguir, considerando a velocidade do som no ar igual a 320 m/s.
Na situação experimental apresentada, a frequência fundamental de ressonância é de 200 Hz.
Provas

As figuras I e II precedentes esquematizam um experimento com tubos ressonantes. O alto-falante ilustrado na figura II selecionou uma mesma frequência de ressonância fundamental para os dois tubos mostrados na figura I: um tubo fechado em uma das extremidades com comprimento L1 e um tubo aberto em ambas as extremidades com comprimento L2. A partir dessas informações, julgue o item a seguir, considerando a velocidade do som no ar igual a 320 m/s.
Dadas as condições de ressonância, a relação entre os
comprimentos dos tubos pode ser expressa pela seguinte
expressão:
.
Provas

A figura I mostra quatro fios condutores idênticos, de coeficiente de dilatação linear α, ligados na forma de um quadrado, e a figura II mostra uma chapa quadrada, de lado igual ao lado do quadrado da figura I, feito do mesmo material e homogêneo. Com base nessas informações, julgue o item a seguir.
Mergulhando-se o objeto da figura I dentro de um fluido, a aresta que estiver mais próxima da superfície e a aresta que estiver mais afastada da superfície estarão sujeitas à mesma pressão.
Provas

A figura I mostra quatro fios condutores idênticos, de coeficiente de dilatação linear α, ligados na forma de um quadrado, e a figura II mostra uma chapa quadrada, de lado igual ao lado do quadrado da figura I, feito do mesmo material e homogêneo. Com base nessas informações, julgue o item a seguir.
Ao se colocarem os objetos das figuras I e II imersos em um líquido qualquer, estando ambos totalmente afundados, o empuxo sobre o objeto da figura I seria maior do que o empuxo sobre o corpo da figura II.
Provas

A figura I mostra quatro fios condutores idênticos, de coeficiente de dilatação linear α, ligados na forma de um quadrado, e a figura II mostra uma chapa quadrada, de lado igual ao lado do quadrado da figura I, feito do mesmo material e homogêneo. Com base nessas informações, julgue o item a seguir.
Sabe-se que, no processo de dilatação do objeto quadrado homogêneo, sua entropia necessariamente aumenta.
Provas
Caderno Container