Foram encontradas 890 questões.

A figura precedente ilustra duas antenas, uma emissora e uma receptora, que utilizam a ionosfera para a transmissão de sinais de comunicação entre elas. Considerando essas informações e sabendo que a velocidade da luz é igual a 3 × 108 m/s, julgue o item subsecutivo.
O fenômeno de reflexão ocorre se α = β.
Provas

A figura precedente mostra um gráfico da pressão, em N/m2 , em função da altura, em km, a partir do nível do mar. No gráfico, a pressão representada no eixo vertical está na escala logarítmica (ln); e a altura, no eixo horizontal, na escala linear. Para obter esse gráfico, a atmosfera foi considerada um gás ideal à temperatura constante. A partir dessas informações, julgue o item seguinte.
A 4 km de altura, a pressão atmosférica é 40% do seu valor ao nível do mar.
Provas

A figura precedente mostra um gráfico da pressão, em N/m2 , em função da altura, em km, a partir do nível do mar. No gráfico, a pressão representada no eixo vertical está na escala logarítmica (ln); e a altura, no eixo horizontal, na escala linear. Para obter esse gráfico, a atmosfera foi considerada um gás ideal à temperatura constante. A partir dessas informações, julgue o item seguinte.
A pressão atmosférica aumenta linearmente com a altura, ou seja, P é proporcional à altura z.
Provas

A figura precedente mostra um gráfico da pressão, em N/m2 , em função da altura, em km, a partir do nível do mar. No gráfico, a pressão representada no eixo vertical está na escala logarítmica (ln); e a altura, no eixo horizontal, na escala linear. Para obter esse gráfico, a atmosfera foi considerada um gás ideal à temperatura constante. A partir dessas informações, julgue o item seguinte.
A densidade da atmosfera, ρ, aumenta linearmente com a pressão, P, ou seja, ρ é proporcional à pressão.
Provas
Na difração da luz por uma fenda única, a expressão para intensidade da luz difratada é dada por
em que
a é o tamanho da fenda; e λ, o comprimento da onda da luz incidente. A figura a seguir mostra um espectro de difração de uma fenda única.

Considerando a figura precedente e as informações nela apresentadas, julgue o próximo item.
A abertura da fenda é duas vezes o comprimento de onda da luz incidente.
Provas

A figura precedente ilustra um feixe de laser que incide em uma peça semicircular de vidro cujo índice de refração é √3, fazendo um ângulo α = 60º. Considerando que a peça de vidro esteja no ar, com índice de refração nar = 1,0, e que o senθ = 30º, julgue o item subsecutivo.
Para qualquer comprimento de onda, as ondas longitudinais podem ser polarizadas.
Provas

A figura precedente ilustra um feixe de laser que incide em uma peça semicircular de vidro cujo índice de refração é √3, fazendo um ângulo α = 60º. Considerando que a peça de vidro esteja no ar, com índice de refração nar = 1,0, e que o senθ = 30º, julgue o item subsecutivo.
Na situação apresentada na figura, a reflexão interna total ocorre quando α for maior que 30º.
Provas

A figura precedente ilustra um feixe de laser que incide em uma peça semicircular de vidro cujo índice de refração é √3, fazendo um ângulo α = 60º. Considerando que a peça de vidro esteja no ar, com índice de refração nar = 1,0, e que o senθ = 30º, julgue o item subsecutivo.
Não haverá raio refletido se a polarização do laser estiver paralela ao plano da folha do papel, conforme ilustrado a seguir.

Provas

O ângulo de refração é de 45º.
Provas

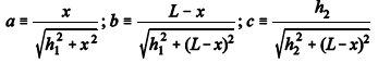
A figura precedente ilustra dois meios diferentes com índice de refração n1 e n2 e três raios de luz: um incidente, um refletido e um refratado. São apresentadas, a seguir, as definições geométricas relativas a essa figura.

Considerando a figura e as informações apresentadas, julgue o próximo item.
Na situação de refração, n1 a = n2 c.
Provas
Caderno Container