Foram encontradas 120 questões.
Disciplina: Direito Educacional e Tecnológico
Banca: CESPE / CEBRASPE
Orgão: SEDUC-AL
Com relação aos instrumentos legais que tratam da valorização de profissionais da educação, julgue o item que se segue.
O Fundo de Manutenção e Desenvolvimento da Educação Básica e de Valorização dos Profissionais da Educação instituiu a destinação de, no mínimo, 60% dos recursos anuais totais dos fundos estaduais e distritais para a remuneração dos profissionais do magistério da educação básica em efetivo exercício na rede pública.
Provas
Os resultados do Índice de Desenvolvimento da Educação Básica (IDEB) apontam desigualdades entre as regiões brasileiras. Segundo relatório dos técnicos de Planejamento e Pesquisa do IPEA, 90% dos municípios nas categorias baixo e médio-inferior do IDEB estão localizados no Norte e no Nordeste do país. O Sul e o Sudeste possuem, respectivamente, 74% e 85% dos municípios com nota médio- superior e alta. E 47% dos municípios do Centro-Oeste apresentam notas ruins e 53%, notas boas.
Na educação, os técnicos identificaram que fatores como renda, moradia, água, esgoto, coleta de lixo e escolaridade da população do município influenciaram mais para a qualidade da nota do IDEB do que o acesso à infraestrutura pedagógica, como biblioteca escolar e laboratório de informática. E o fator que mais pode aumentar o desempenho do aluno é a escolaridade dos pais, principalmente a da mãe.
Em uma comparação entre o IDEB e o Índice das Condições Sociais (ICS), 94% dos municípios com ICS alto tiraram nota do IDEB entre alto e médio-superior. “Esses dados corroboram o entendimento de que é maior a probabilidade de se obter um resultado elevado no IDEB quando se tem um maior número de fatores sociais considerados adequados”, explica um dos autores do relatório.
Os técnicos afirmam que, na área de educação, não basta aos governos oferecerem boas escolas às crianças que se encontram à margem do acesso aos direitos básicos de cidadania, embora boas instalações e professores qualificados sejam importantes requisitos para o rendimento escolar.
Adriana Nicacio. Um novo olhar sobre a diversidade
territorial. In: Desafios do Desenvolvimento. Revista do IPEA, ano 10, n.º 77, 7/10/2013 (com adaptações).
No que se refere à organização das ideias no texto acima, julgue o item.
Mantendo-se a correção gramatical e os sentidos originais do texto, o trecho ‘Esses dados (...) considerados adequados’ poderia ser ligado à sentença “94% dos municípios com ICS alto tiraram nota do IDEB entre alto e médio- superior” por meio da expressão o que, desde que se suprimisse ‘Esses dados’ e se fizessem as devidas adaptações de sinais de pontuação.
Provas
Os resultados do Índice de Desenvolvimento da Educação Básica (IDEB) apontam desigualdades entre as regiões brasileiras. Segundo relatório dos técnicos de Planejamento e Pesquisa do IPEA, 90% dos municípios nas categorias baixo e médio-inferior do IDEB estão localizados no Norte e no Nordeste do país. O Sul e o Sudeste possuem, respectivamente, 74% e 85% dos municípios com nota médio- superior e alta. E 47% dos municípios do Centro-Oeste apresentam notas ruins e 53%, notas boas.
Na educação, os técnicos identificaram que fatores como renda, moradia, água, esgoto, coleta de lixo e escolaridade da população do município influenciaram mais para a qualidade da nota do IDEB do que o acesso à infraestrutura pedagógica, como biblioteca escolar e laboratório de informática. E o fator que mais pode aumentar o desempenho do aluno é a escolaridade dos pais, principalmente a da mãe.
Em uma comparação entre o IDEB e o Índice das Condições Sociais (ICS), 94% dos municípios com ICS alto tiraram nota do IDEB entre alto e médio-superior. “Esses dados corroboram o entendimento de que é maior a probabilidade de se obter um resultado elevado no IDEB quando se tem um maior número de fatores sociais considerados adequados”, explica um dos autores do relatório.
Os técnicos afirmam que, na área de educação, não basta aos governos oferecerem boas escolas às crianças que se encontram à margem do acesso aos direitos básicos de cidadania, embora boas instalações e professores qualificados sejam importantes requisitos para o rendimento escolar.
Adriana Nicacio. Um novo olhar sobre a diversidade
territorial. In: Desafios do Desenvolvimento. Revista do IPEA, ano 10, n.º 77, 7/10/2013 (com adaptações).
No que se refere à organização das ideias no texto acima, julgue o item.
Depreende-se do texto que a região Sul do país foi a que obteve a melhor nota no IDEB.
Provas
O movimento Todos pela Educação lançou, no dia 4 de dezembro de 2013, o portal Observatório, do Plano Nacional da Educação (PNE), com o objetivo de acompanharo andamento do plano, aprovado no dia 27 de novembro de 2013, na Comissão de Educação, Cultura e Esporte do Senado Federal. O projeto de lei que instituiu o programa (PLC n.º 103/2012) segue para votação em plenário em regime de urgência. Como o texto foi modificado no Senado, deve voltar à Câmara dos Deputados. É preciso ressaltar que o país está há 1.068 dias sem o PNE, uma vez que o anterior venceu em 2010 e o atual ainda está em tramitação.
O Observatório originou-se da constatação de que foram cumpridas apenas 20% das metas previstas no PNE anterior, que regeu o período de 2000 a 2010. A finalidade do Observatório é que ele seja uma ferramenta de gestão, referência para gestores públicos e educadores e instrumento para que a sociedade civil possa cobrar a consecução desse plano.
No PNE, são estabelecidas 20 metas para a educação, que contemplam desde a infantil até a formação continuada de professores, além da ampliação do investimento público no setor, a qual visa chegar a 10% do produto interno bruto (PIB) do país, no final dos dez anos de vigência da lei.
Segundo a avaliação do movimento Todos pela Educação, o PNE a ser aprovado perpassa os pontos principais da educação no país, mas ainda deixa arestas. Na meta 6, por exemplo, são definidas as diretrizes para a educação em tempo integral, a qual se desdobra em ampliação do tempo de permanência na escola, construção de escolas, recursos (infraestrutura e equipamentos, material didático e formação), articulação no território, parcerias com entidades privadas, parcerias ONG-escolas, diversidade local e tempo integral para pessoas com necessidades especiais. Uma das cobranças do Todos pela Educação é que a definição sobre a educação em tempo integral seja mais específica: não é o caso apenas de mais tempo na escola; é tempo na escola com exposição ao aprendizado.
Todos pela Educação lança portal para
monitorar PNE. Internet: <www.noticias.r7.com>, 5/12/2013 (com adaptações).
A respeito das ideias e das estruturas linguísticas do texto acima, julgue o item.
Na oração “uma vez que o anterior venceu em 2010 e o atual ainda está em tramitação” , as duas ocorrências de “o” fazem referência a “projeto de lei”.
Provas
Os resultados do Índice de Desenvolvimento da Educação Básica (IDEB) apontam desigualdades entre as regiões brasileiras. Segundo relatório dos técnicos de Planejamento e Pesquisa do IPEA, 90% dos municípios nas categorias baixo e médio-inferior do IDEB estão localizados no Norte e no Nordeste do país. O Sul e o Sudeste possuem, respectivamente, 74% e 85% dos municípios com nota médio- superior e alta. E 47% dos municípios do Centro-Oeste apresentam notas ruins e 53%, notas boas.
Na educação, os técnicos identificaram que fatores como renda, moradia, água, esgoto, coleta de lixo e escolaridade da população do município influenciaram mais para a qualidade da nota do IDEB do que o acesso à infraestrutura pedagógica, como biblioteca escolar e laboratório de informática. E o fator que mais pode aumentar o desempenho do aluno é a escolaridade dos pais, principalmente a da mãe.
Em uma comparação entre o IDEB e o Índice das Condições Sociais (ICS), 94% dos municípios com ICS alto tiraram nota do IDEB entre alto e médio-superior. “Esses dados corroboram o entendimento de que é maior a probabilidade de se obter um resultado elevado no IDEB quando se tem um maior número de fatores sociais considerados adequados”, explica um dos autores do relatório.
Os técnicos afirmam que, na área de educação, não basta aos governos oferecerem boas escolas às crianças que se encontram à margem do acesso aos direitos básicos de cidadania, embora boas instalações e professores qualificados sejam importantes requisitos para o rendimento escolar.
Adriana Nicacio. Um novo olhar sobre a diversidade
territorial. In: Desafios do Desenvolvimento. Revista do IPEA, ano 10, n.º 77, 7/10/2013 (com adaptações).
No que se refere à organização das ideias no texto acima, julgue o item.
Sem prejuízo para a correção gramatical e para os sentidos originais do texto, é correto substituir o trecho “no Norte e no Nordeste do país” por: nas regiões Norte e Nordeste do país.
Provas
Disciplina: Direito Educacional e Tecnológico
Banca: CESPE / CEBRASPE
Orgão: SEDUC-AL
Julgue o item subsequente, com base nos instrumentos legais que dispõem acerca da educação brasileira, considerando que CF corresponde à Constituição Federal de 1988 e LDB, à Lei de Diretrizes e Bases da Educação Nacional.
De acordo com a LDB, as atribuições dos docentes incluem a participação na elaboração da proposta pedagógica da escola e a colaboração nas atividades de articulação da escola com as famílias e a comunidade escolar.
Provas
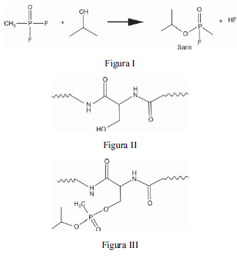
O gás Sarin, utilizado na produção de armas químicas devido a sua ação como potente inibidor da enzima acetilcolinesterase, é uma proteína que degrada a acetilcolina (neurotransmissor liberado na fenda sináptica) e age na enzima, formando uma ligação covalente com o resíduo de serina no sítio ativo.
A seguir, a figura I representa a reação de obtenção do gás Sarin; a figura II, a fórmula estrutural do resíduo de serina incorporado à estrutura da acetilcolinesterase no sítio ativo; e a figura III, o modo como ocorre a ligação covalente entre o gás Sarin e o resíduo de serina.

Tendo o conjunto de informações acima como referência, julgue o item seguinte.
Em face da estrutura mostrada na figura II, é correto concluir que, na cadeia principal de proteínas, são encontradas muitas ligações do tipo amida.
Provas
O gás Sarin, utilizado na produção de armas químicas devido a sua ação como potente inibidor da enzima acetilcolinesterase, é uma proteína que degrada a acetilcolina (neurotransmissor liberado na fenda sináptica) e age na enzima, formando uma ligação covalente com o resíduo de serina no sítio ativo.
A seguir, a figura I representa a reação de obtenção do gás Sarin; a figura II, a fórmula estrutural do resíduo de serina incorporado à estrutura da acetilcolinesterase no sítio ativo; e a figura III, o modo como ocorre a ligação covalente entre o gás Sarin e o resíduo de serina.

Tendo o conjunto de informações acima como referência, julgue o item seguinte.
A ligação covalente entre o Sarin e o resíduo de serina no sítio ativo ocorre com um átomo de oxigênio localizado na cadeia principal polipeptídica da acetilcolinesterase.
Provas
Os resultados do Índice de Desenvolvimento da Educação Básica (IDEB) apontam desigualdades entre as regiões brasileiras. Segundo relatório dos técnicos de Planejamento e Pesquisa do IPEA, 90% dos municípios nas categorias baixo e médio-inferior do IDEB estão localizados no Norte e no Nordeste do país. O Sul e o Sudeste possuem, respectivamente, 74% e 85% dos municípios com nota médio- superior e alta. E 47% dos municípios do Centro-Oeste apresentam notas ruins e 53%, notas boas.
Na educação, os técnicos identificaram que fatores como renda, moradia, água, esgoto, coleta de lixo e escolaridade da população do município influenciaram mais para a qualidade da nota do IDEB do que o acesso à infraestrutura pedagógica, como biblioteca escolar e laboratório de informática. E o fator que mais pode aumentar o desempenho do aluno é a escolaridade dos pais, principalmente a da mãe.
Em uma comparação entre o IDEB e o Índice das Condições Sociais (ICS), 94% dos municípios com ICS alto tiraram nota do IDEB entre alto e médio-superior. “Esses dados corroboram o entendimento de que é maior a probabilidade de se obter um resultado elevado no IDEB quando se tem um maior número de fatores sociais considerados adequados”, explica um dos autores do relatório.
Os técnicos afirmam que, na área de educação, não basta aos governos oferecerem boas escolas às crianças que se encontram à margem do acesso aos direitos básicos de cidadania, embora boas instalações e professores qualificados sejam importantes requisitos para o rendimento escolar.
Adriana Nicacio. Um novo olhar sobre a diversidade
territorial. In: Desafios do Desenvolvimento. Revista do IPEA, ano 10, n.º 77, 7/10/2013 (com adaptações).
No que se refere à organização das ideias no texto acima, julgue o item.
Sem prejuízo para a correção gramatical, poderá ser flexionada no singular a locução verbal “estão localizados”, na oração “90% dos municípios nas categorias baixo e médio-inferior do IDEB estão localizados no Norte e no Nordeste do país”.
Provas
Os resultados do Índice de Desenvolvimento da Educação Básica (IDEB) apontam desigualdades entre as regiões brasileiras. Segundo relatório dos técnicos de Planejamento e Pesquisa do IPEA, 90% dos municípios nas categorias baixo e médio-inferior do IDEB estão localizados no Norte e no Nordeste do país. O Sul e o Sudeste possuem, respectivamente, 74% e 85% dos municípios com nota médio- superior e alta. E 47% dos municípios do Centro-Oeste apresentam notas ruins e 53%, notas boas.
Na educação, os técnicos identificaram que fatores como renda, moradia, água, esgoto, coleta de lixo e escolaridade da população do município influenciaram mais para a qualidade da nota do IDEB do que o acesso à infraestrutura pedagógica, como biblioteca escolar e laboratório de informática. E o fator que mais pode aumentar o desempenho do aluno é a escolaridade dos pais, principalmente a da mãe.
Em uma comparação entre o IDEB e o Índice das Condições Sociais (ICS), 94% dos municípios com ICS alto tiraram nota do IDEB entre alto e médio-superior. “Esses dados corroboram o entendimento de que é maior a probabilidade de se obter um resultado elevado no IDEB quando se tem um maior número de fatores sociais considerados adequados”, explica um dos autores do relatório.
Os técnicos afirmam que, na área de educação, não basta aos governos oferecerem boas escolas às crianças que se encontram à margem do acesso aos direitos básicos de cidadania, embora boas instalações e professores qualificados sejam importantes requisitos para o rendimento escolar.
Adriana Nicacio. Um novo olhar sobre a diversidade
territorial. In: Desafios do Desenvolvimento. Revista do IPEA, ano 10, n.º 77, 7/10/2013 (com adaptações).
No que se refere à organização das ideias no texto acima, julgue o item.
No trecho “o acesso à infraestrutura pedagógica", o emprego do acento indicativo de crase é obrigatório em decorrência de regra de regência nominal.
Provas
Caderno Container