Foram encontradas 1.078 questões.
Em um sistema de coordenadas cartesianas ortogonais xOy, o conjunto dos pares (x, y) que satisfazem uma equação da forma Ax2 + By2 + Cxy + Dx + Ey + F = 0, em que A, B, C, D, E e F são constantes reais, pode representar: um único ponto; uma reta; duas retas; uma circunferência; uma elipse; uma hipérbole; uma parábola; ou um conjunto vazio. A respeito desse assunto, julgue o item seguinte.
A equação 9x2 + 4y2 + 36x – 8y + 4 = 0 representa uma elipse de centro (1, -2) e semieixos iguais a 2 e 3.
Provas
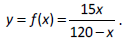
Para concluir uma obra em x dias, a empreiteira de engenharia previu que a quantidade de operários necessária, y, poderia ser expressa por uma função da forma:
A respeito dessa situação, julgue o item subsequente.
A função inversa de y = f(x) pode ser expressa por ![]()
Provas
A respeito de progressões aritméticas e geométricas, julgue o item a seguir.
Considere-se que uma empresa de engenharia construirá, a partir de abril do próximo ano, um edifício de 15 andares e que, para facilitar a logística e prevendo custos, tenha projetado que: o início da construção do primeiro andar será em abril, a do segundo, em maio, e assim sucessivamente, um andar será iniciado a cada mês; o custo de construção de cada andar, a partir do segundo, terá uma correção fixa de R$ 200.000,00 em relação ao preço do andar anterior; e o custo de construção do último andar será 8 vezes o custo de construção do primeiro. Nessa situação, o preço de construção do primeiro andar será inferior a R$ 500.000,00 e o do último, superior a R$ 3.000.000,00.
Provas
Na figura a seguir, as retas r1, r2, r3, r4 e r5 são paralelas; as retas s1 e s2 são transversais; X, Y e Z e os números ao lado dos segmentos das retas transversais indicam seus respectivos comprimentos.

Com relação à figura, julgue o item seguinte.
Y + Z = 24.
Provas
Na figura a seguir, as retas r1, r2, r3, r4 e r5 são paralelas; as retas s1 e s2 são transversais; X, Y e Z e os números ao lado dos segmentos das retas transversais indicam seus respectivos comprimentos.

Com relação à figura, julgue o item seguinte.
X + Y = 31.
Provas

Tendo como referência a figura apresentada e as medidas fornecidas, julgue o item que se segue.
O teorema de Tales permite concluir que CF = 2 × FJ, que BG = 2 × GK e que AH = 2 × HL.
Provas
Na figura a seguir, as retas r1, r2, r3, r4 e r5 são paralelas; as retas s1 e s2 são transversais; X, Y e Z e os números ao lado dos segmentos das retas transversais indicam seus respectivos comprimentos.

Com relação à figura, julgue o item seguinte.
X + Z = 23.
Provas
A quantidade de água em um reservatório, durante
determinado mês, pode ser expressa, em porcentagem, pela
equação
, em que x
representa o dia do mês. Com relação a essa situação, julgue
o item que se segue.
Nos primeiros dias do mês, houve um aumento da quantidade de água do reservatório.
Provas
Em um sistema de coordenadas cartesianas ortogonais xOy, considere as funções definidas por y1 = f(x) = x2 e y2 = g(x) = 4 – x2 para julgar o item que se segue.
O volume do sólido obtido pela rotação do gráfico de y1, para 0 ≤ x ≤ 2, em torno do eixo Ox é igual a 32π unidades de volume.
Provas

No que se refere aos aspectos linguísticos e aos sentidos do texto acima, assim como às funções da linguagem e à tipologia textual, julgue o item subsequente.
A palavra “língua”, empregada diversas vezes no texto, é um exemplo de palavra polissêmica.
Provas
Caderno Container