Foram encontradas 380 questões.
Disciplina: Engenharia Civil
Banca: SELECON
Orgão: SAAE Lucas do Rio Verde-MT
Um engenheiro classificou determinada amostra de solo como siltosa. Entretanto, um colega, ao revisar o relatório, verificou que houve um engano e que o solo deveria ter sido classificado na categoria imediatamente superior, em termos de granulometria.
Dessa forma, a amostra é composta predominantemente por:
Provas
Disciplina: Direito Ambiental
Banca: SELECON
Orgão: SAAE Lucas do Rio Verde-MT
De acordo com a Legislação Ambiental vigente, as substâncias nocivas ou perigosas classificam-se em categorias. Aquelas classificadas como de risco médio tanto para a saúde humana como para o ecossistema aquático, quando descarregadas na água, são da categoria:
Provas
Disciplina: Engenharia Ambiental e Sanitária
Banca: SELECON
Orgão: SAAE Lucas do Rio Verde-MT
A qualidade da água pode ser medida por parâmetros, que determinam suas características físicas, químicas e biológicas, sendo a quantificação do oxigênio dissolvido (OD) em águas um indicador expressivo da qualidade de um recurso hídrico. Essa quantidade de oxigênio sofre variações, tendo os valores de oxigênio dissolvido entre 8 e 10 mg/L para um rio, em condições naturais. Um fator que justificaria, em um rio, uma baixa nesses parâmetros seria:
Provas
- Química OrgânicaFunções Nitrogenadas: Amina, Amida, Nitrila, Isonitrila e Nitro Composto
- Química OrgânicaFunções Oxigenadas: Álcool, Fenol e Enol
- Química OrgânicaFunções Oxigenadas: Cetona, Aldeído, Éter, Éster, Ácido Carboxílico etc.
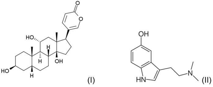
“Sapo Cururu na beira do rio. Quando o sapo canta, ó maninha, é porque tem frio (...)”. O sapo cururu inocente nas cantigas populares é um anfíbio que secreta um líquido venenoso pelas glândulas parótidas atrás dos ombros. O veneno, conhecido por bufotoxina, contém diversas substâncias químicas como a bufagina (I) e a bufotenina (II), representadas das figuras a seguir.

A primeira afeta o coração e a segunda é um alucinógeno. Na substância que afeta o coração e na alucinógena encontramos, respectivamente, as funções orgânicas:
Provas
Os efluentes industriais contaminados com metais pesados, como por exemplo, chumbo, mercúrio e cádmio, causam problemas graves ao meio ambiente. Existem vários métodos de tratamento convencionais para minimizar ou eliminar esses contaminantes e, entre alternativas de grande eficácia, temos o processo de:
Provas
Um marca-passo cardíaco é alimentado por uma pilha de lítio-iodo, que possui durabilidade em torno de 10 anos, sendo leve, segura e assemelhando-se a moedas bem pequenas. Dadas as suas semirreações e seus respectivos potenciais, pode-se prever que a diferença de potencial, em volt, de um marca-passo será equivalente a:
Li+(s) + e- → Li(s) Eº = - 3,04 V
I2(s) + 2e- → 2 I-(s) Eº = + 0,54 V
Provas
A saxitoxina, representada a seguir, é uma neurotoxina produzida por algumas espécies de cianobactérias e dinoflagelados. De ocorrência ampla, ela pode ser encontrada no mar, nos rios e nos lagos.

Seu valor máximo permitido, na água potável para consumo (mg/L), de acordo com a Portaria GM/MS 888/2021, é de 3mg/L. Encontrou-se na análise de 500 mL de uma determinada marca de água mineral o valor de 6,7. 10-9 mol de saxitoxina. O valor encontrado corresponde a:
(Dados, em g/mol C=12, H=1, O=16, N= 14)
Provas
A 14 mil pés ou cerca de 4,2 km de altitude, é comum que máscaras de oxigênio caiam automaticamente em um avião para que os passageiros as coloquem. Em cada máscara acionada pelo passageiro, acontecerá a reação exotérmica de decomposição do clorato de sódio, resultando como produtos o cloreto de sódio e gás oxigênio.
Se cada máscara contém cerca de 180 g de clorato de sódio, considerando uma perda de 20% no rendimento e o volume molar igual a 25 L, o volume de gás oxigênio que será produzido por todas as máscaras acionadas, considerando que haja 660 em um Boeing 777, será aproximadamente igual a:
(Dados, em g/mol: Na=23, Cl=35,5 e O=16)
Provas
Disciplina: Engenharia Química
Banca: SELECON
Orgão: SAAE Lucas do Rio Verde-MT
A escolha de um bom solvente em uma análise que utilize a espectroscopia de ultravioleta é muito importante. Essa escolha deverá levar em conta, entre outros fatores, a sua não absorção na mesma região em que se encontra a substância cujos espectros estão sob análise. Essa característica ajuda a:
Provas
Leia o texto a seguir:
Uma análise na água dos rios amazônicos, em seu estado natural, apresentou diferentes valores de pH. Os rios de águas brancas apresentaram pH entre 6,2 e 7,2, enquanto os de águas claras se situaram entre 4,5 e 7,8. Já os rios de águas pretas apresentaram valores entre 3,8 e 4,9, ficando claro que esses valores de pH podem ser alterados ao longo do rio, onde um pH igual a 4,0 eleva-se até 7,8 quando se encontra com águas marinhas.
(Adaptado de: Piratoba et al. Rev. Ambient. Água, v.2, n.3 Taubaté, 2017. p.441).
O valor sob análise que indica o meio mais ácido pode ser visto:
Provas
Caderno Container