Foram encontradas 785 questões.
Provas
Sabendo que a empresa apresenta, para tanto, as seguintes informações hipotéticas em 31/12/2021, antes do fechamento, indique o valor em Reais da constituição da reserva legal para 2021.
• Capital social de R$ 250.000,00
• Reserva de capital R$ 100.000,00
• Reserva legal R$ 40.000,00
• Lucro do exercício R$ 450.000,00
Provas
Provas
Considere as informações a seguir para responder à questão de número 26.
Balancete da Empresa de Serviços e Comércio levantado em 30 de novembro de 2021
Balancete em 30/11/2021 | Reais |
Aplicações financeiras | 220.000,00 |
Ativo Imobilizado | 290.000,00 |
Ativos Intangíveis | 60.000,00 |
Caixa e equivalentes de Caixa | 150.000,00 |
Capital Social | 220.000,00 |
Contas a pagar | 82.000,00 |
Contas a pagar de longo prazo | 90.000,00 |
Contas a receber de clientes | 180.000,00 |
Demais contas a receber | 120.000,00 |
Depreciação Acumulada | (70.000,00) |
Adiantamentos | 30.000,00 |
Empréstimos e financiamentos | 170.000,00 |
Empréstimos e financiamentos LP | 240.000,00 |
Estoques | 210.000,00 |
Fornecedores | 190.000,00 |
Impostos a recolher | 116.000,00 |
Investimentos em Controladas | 190.000,00 |
Reservas de capital | 100.000,00 |
Salários a pagar | 90.000,00 |
Títulos a receber (LP) | 55.000,00 |
Receitas de vendas de produtos e serviços | 700.000,00 |
Impostos sobre vendas | (95.000,00) |
Devoluções de vendas | (15.000,00) |
Custos dos produtos vendidos | (250.000,00) |
Despesas com Vendas | (50.000,00) |
Despesas Administrativas | (65.000,00) |
Despesas Financeiras | (12.000,00) |
Outras despesas operacionais | (6.000,00) |
Despesa com IRPJ e CSLL do período | (70.000,00) |
Informações adicionais para o encerramento do balanço de 2021:
Durante o mês de dezembro, ocorreram as seguintes operações:
• Vendas Líquidas de serviços à vista por R$ 100.000,00;
• Pagamento integral do saldo de salários;
• Resgate integral da aplicação financeira;
• Pagamento integral dos Fornecedores.
Após o encerramento do Balanço Patrimonial de 2021, os totais de Passivos com Terceiros e de Patrimônio Líquido, respectivamente, em R$, foram
Provas

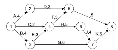
O tempo de execução dessa obra, em dias, é igual a
Provas
Provas
Provas
- Gerenciamento, Planejamento e Controle de Obras
- Orçamento no Planejamento e Controle de Obras na Engenharia Civil
Provas
- Gerenciamento, Planejamento e Controle de Obras
- Orçamento no Planejamento e Controle de Obras na Engenharia Civil
Provas
- Gerenciamento, Planejamento e Controle de Obras
- Orçamento no Planejamento e Controle de Obras na Engenharia Civil
Provas
Caderno Container