Magna Concursos

Foram encontradas 110 questões.

3276064 Ano: 2024
Disciplina: Raciocínio Lógico
Banca: IBADE
Orgão: PRODEST-ES

Considere as proposições a seguir:

p: "O sol está brilhando".

q: "Está um dia ensolarado".

Dessa forma, é correto afirmar que a proposição composta ~p ∨ (p ∧ ~q) equivale a:

 

Provas

Questão presente nas seguintes provas
O Decreto nº 4.922 estabelece que os dados pessoais tratados no âmbito do Poder Executivo Estadual não devem ser compartilhados, em hipótese alguma, sob nenhuma circunstância.

Sobre a afirmação acima é correto dizer que:
 

Provas

Questão presente nas seguintes provas
Segundo legislação vigente, quando um servidor público do Estado do Espírito Santo, apresentar dúvida se o seu ato viola a lei e/ou fere os princípios éticos, o respectivo servidor deverá:
 

Provas

Questão presente nas seguintes provas
O Decreto nº 1595-R, de 06 de dezembro de 2005, versa sobre:
 

Provas

Questão presente nas seguintes provas
3276060 Ano: 2024
Disciplina: Matemática
Banca: IBADE
Orgão: PRODEST-ES
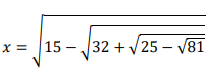
O número inteiro Enunciado 3633194-1 é igual a:
 

Provas

Questão presente nas seguintes provas
3276059 Ano: 2024
Disciplina: Matemática
Banca: IBADE
Orgão: PRODEST-ES
Sequência numérica é uma lista formada por números que possui uma ordem, geralmente, bem definida. Considere a sequência a seguir:

2, 7, 22, 67, ...

Sendo assim, qual é o valor do quinto termo dessa sequência?
 

Provas

Questão presente nas seguintes provas
3276058 Ano: 2024
Disciplina: Matemática
Banca: IBADE
Orgão: PRODEST-ES
Camila é dona de uma papelaria e está fazendo um levantamento sobre as vendas de cadernos ao longo do ano. Ela observou que entre abril e novembro, incluindo esses meses, vende cerca de 5 cadernos de 200 folhas por mês. Porém, nos outros meses as vendas desse item crescem 40%. Quantos cadernos a papelaria de Camila vende, por mês, entre dezembro e março?
 

Provas

Questão presente nas seguintes provas
3276057 Ano: 2024
Disciplina: Matemática
Banca: IBADE
Orgão: PRODEST-ES
João possui um cubo de aresta 5 cm e precisa saber quantos cubos, iguais a esse, cabem em sua caixa. Sabendo que sua caixa possui 20 cm de comprimento, 15 cm de largura e 30 cm de altura, a quantidade máxima de cubos que podem ser colocados nessa caixa é igual a:
 

Provas

Questão presente nas seguintes provas
3276056 Ano: 2024
Disciplina: Matemática
Banca: IBADE
Orgão: PRODEST-ES
Um carro viaja a uma velocidade constante de 60 km/h. Se o tempo de viagem é diretamente proporcional à distância percorrida, quanto tempo levará para percorrer 240 km?
 

Provas

Questão presente nas seguintes provas
3276055 Ano: 2024
Disciplina: Matemática
Banca: IBADE
Orgão: PRODEST-ES
Sabendo que x = 3,2 e y = 5,2 é correto afirmar que x/y é igual a:
 

Provas

Questão presente nas seguintes provas