Foram encontradas 50 questões.
Provas
ABC é um triângulo, Q é o ponto médio de BC e o ponto P é tal que AP = 2/3. AB; M é o ponto de interseção das retas CP e AQ. A razão entre as áreas dos triângulos AMB e ABC é:
Provas
Calcular a área da seção reta de um paralelepípedo cuja base é um quadrado de lado a e cujas faces laterais são dois quadrados e dois losangos com ângulo de 60º .
Provas
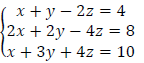
Para o sistema de equações lineares

É correto afirmar que:
Provas
Considere a matriz
e as seguintes
proposições:
I- Se Paris está na França então o determinante de A é igual a 0 (zero).
II- Se Paris está na Inglaterra então o determinante de A é igual a 1 (um).
III- Se Paris está na França, então o determinante de A é igual a 1 (um).
IV- Se Paris está na Inglaterra, então o determinante de A é igual a 0 (zero).
Então, entre as quatro proposições acima, o rol completo da(s) proposição(ões) correta(s) é:
Provas
Provas
A altura do cone de revolução circunscrito a uma esfera de
raio R, dado o volume do cone igual a
é:
Provas
Se x1 e x2 são as raízes da equação:![]()
![]()
Provas
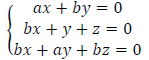
Num sistema de coordenadas cartesianas ortogonais, verificou-se que os pontos A(a,1,a), B(2a, 1, a), C(b, a, a) distintos são colineares. Além disso o sistema:

possui solução não trivial. Logo:
Provas
Sabendo-se que: ![]()
podemos afirmar que:
Provas
Caderno Container