Foram encontradas 40 questões.
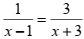
O valor de “x” que torna verdadeira a igualdade
é:
Provas
Provas
Instrução: A questão refere-se ao texto abaixo.
Do funk 150 bpm ao rock, Planeta Atlântida 2020 celebra a diversidade musical

(Disponível em: https://gauchazh.clicrbs.com.br/cultura-e-lazer/musica/noticia/2020/02/ – texto
adaptado especialmente para esta prova.)
Provas
Instrução: A questão refere-se ao texto abaixo.
Do funk 150 bpm ao rock, Planeta Atlântida 2020 celebra a diversidade musical

(Disponível em: https://gauchazh.clicrbs.com.br/cultura-e-lazer/musica/noticia/2020/02/ – texto
adaptado especialmente para esta prova.)
Provas
Instrução: A questão refere-se ao texto abaixo.
Do funk 150 bpm ao rock, Planeta Atlântida 2020 celebra a diversidade musical

(Disponível em: https://gauchazh.clicrbs.com.br/cultura-e-lazer/musica/noticia/2020/02/ – texto
adaptado especialmente para esta prova.)
“O público do Planeta já vestiu munhequeira quadriculada, bandanas, cinto de rebite, jeans cintura baixa, boné com telinha, chapéu fedora e vestido hippie. Teve também piercing no umbigo, topete descolorido, cabelo curto, comprido ou com franja tapando os olhos.”
( ) Em cada uma das frases, as vírgulas separam termos de mesma função sintática. ( ) As vestimentas e os estilos referidos expressam a diversidade – não só musical, mas de estilos e comportamentos – que se encontra no evento. ( ) Se a palavra público fosse substituída por fãs, seriam necessárias outras três alterações na 1ª frase para se adequar a concordância.
A ordem correta de preenchimento dos parênteses, de cima para baixo, é:
Provas
Considere as seguintes proposições verdadeiras:
I. Ana estuda em Vacaria.
II. Todos os que estudam em Vacaria são pessoas que gostam de Matemática.
Disso, pode-se concluir que:
Provas
Disciplina: Atualidades e Conhecimentos Gerais
Banca: FUNDATEC
Orgão: Pref. Vacaria-RS
Provas
Se P, Q e R são proposições simples, então o número de linhas da tabela verdade da proposição composta (P ∧ Q)⇔ R será:
Provas
Instrução: A questão refere-se ao texto abaixo.
Do funk 150 bpm ao rock, Planeta Atlântida 2020 celebra a diversidade musical

(Disponível em: https://gauchazh.clicrbs.com.br/cultura-e-lazer/musica/noticia/2020/02/ – texto
adaptado especialmente para esta prova.)
Provas
Instrução: A questão refere-se ao texto abaixo.
Do funk 150 bpm ao rock, Planeta Atlântida 2020 celebra a diversidade musical

(Disponível em: https://gauchazh.clicrbs.com.br/cultura-e-lazer/musica/noticia/2020/02/ – texto
adaptado especialmente para esta prova.)
Provas
Caderno Container