Foram encontradas 430 questões.
Considere o número abcd de 4 algarismos (por exemplo, 1234 (mil duzentos e trinta e quatro) é um número de 4
algarismos). Um critério de divisibilidade de abcd por 19 pode ser:
Provas
Questão presente nas seguintes provas
Dada a função polinomial f(x) = 2x³+5x²-2, pode-se afirmar que a soma das raízes de f é
Provas
Questão presente nas seguintes provas
Considere a sequência a1, a2, a3, a4, a5, . . ., an em progressão geométrica (PG) com razão positiva. Sabendo que
a3 – a1 = 96 e a5 – a3 = 2400, pode-se afirmar que a razão dessa PG é
Provas
Questão presente nas seguintes provas
Uma empresa de viagem vende pacotes para 3 destinos, A, B e C. No primeiro dia, a empresa vendeu 2 pacotes A,
1 pacote B e 3 pacotes C, arrecadando R$ 6.200,00 no primeiro dia. No segundo dia, foram vendidos 1 pacote A, 1
pacote B e 1 pacote C, arrecadando R$ 3.600,00 no segundo dia. No terceiro dia, foram vendidos 3 pacotes A, 1
pacote B e 2 pacotes C, arrecadando R$ 6.250,00. Com base nessas informações, o valor do pacote B é
Provas
Questão presente nas seguintes provas
Um reservatório de água foi construído no formato de um prisma triangular regular reto. Sabe-se que o lado da base é de 5 metros e o reservatório tem capacidade para 32.476 litros de água. Pode-se afirmar que a altura mínima é de, aproximadamente,

Provas
Questão presente nas seguintes provas
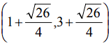
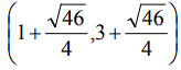
Considere, no plano cartesiano, o ponto A = (2,2), o ponto B = (1,3) e o segmento de reta AB. Um ponto C
pertencente ao primeiro quadrante é tal que o segmento BC é perpendicular ao segmento AB e a distância de A até
C é 3. Com base nessas informações, pode-se afirmar que o ponto C tem coordenadas
Provas
Questão presente nas seguintes provas
Considere b > 0 e b ≠ 1 . Sabe-se que logb 2 = ,0 4307 e que logb 250 = ,3 4307 . Nesse caso, a base b é
Provas
Questão presente nas seguintes provas
Considere a função f (x) = cotg(2x). Então, a derivada \( f'\left ( \dfrac{\pi}{4} \right )\) é:
Cotg = cotangente
Provas
Questão presente nas seguintes provas
- Código PenalCrimes Contra a Administração PúblicaPraticados por Funcionário PúblicoConcussão e Excesso de Exação
Kaio, auditor de tributos do município de Biribiri (MG), exige o Imposto Predial e Territorial Urbano (IPTU) em montante que sabe ser indevido do Sr. Francisco. Nessa situação hipotética, a conduta de Kaio pode ser tipificada, em tese, como o crime de
Provas
Questão presente nas seguintes provas
Para Eduardo Sabbag (2009), a competência tributária é a outorga atribuída, privativa e constitucionalmente, ao ente político para que ele, com base na lei, proceda à instituição da exação tributária.
Fonte: SABBAG, Eduardo. Manual de direito tributário. São Paulo: Saraiva, 2009, p. 339.
Em relação à competência tributária, é CORRETO afirmar:
Fonte: SABBAG, Eduardo. Manual de direito tributário. São Paulo: Saraiva, 2009, p. 339.
Em relação à competência tributária, é CORRETO afirmar:
Provas
Questão presente nas seguintes provas
Cadernos
Caderno Container