Magna Concursos

Foram encontradas 340 questões.

1162809 Ano: 2019
Disciplina: Português
Banca: Excelência
Orgão: Pref. Taubaté-SP
Provas:

Leia a Crônica abaixo para responder às questões de 1 a 10.

O melhor amigo

Fernando Sabino

A mãe estava na sala, costurando. O menino abriu a porta da rua, meio ressabiado, arriscou um passo para dentro e mediu cautelosamente a distância. Como a mãe não se voltasse para vê-lo, deu uma corridinha em direção de seu quarto.

– Meu filho? – gritou ela.

– O que é – respondeu, com o ar mais natural que lhe foi possível.

– Que é que você está carregando aí?

Como podia ter visto alguma coisa, se nem levantara a cabeça? Sentindo-se perdido, tentou ainda ganhar tempo.

– Eu? Nada…

– Está sim. Você entrou carregando uma coisa.

Pronto: estava descoberto. Não adiantava negar – o jeito era procurar comovê-la. Veio caminhando desconsolado até a sala, mostrou à mãe o que estava carregando:

– Olha aí, mamãe: é um filhote… Seus olhos súplices aguardavam a decisão.

– Um filhote? Onde é que você arranjou isso?

– Achei na rua. Tão bonitinho, não é, mamãe?

Sabia que não adiantava: ela já chamava o filhote de isso. Insistiu ainda:

– Deve estar com fome, olha só a carinha que ele faz.

– Trate de levar embora esse cachorro agora mesmo!

– Ah, mamãe… – já compondo uma cara de choro.

– Tem dez minutos para botar esse bicho na rua. Já disse que não quero animais aqui em casa. Tanta coisa para cuidar, Deus me livre de ainda inventar uma amolação dessas.

O menino tentou enxugar uma lágrima, não havia lágrima. Voltou para o quarto, emburrado:

A gente também não tem nenhum direito nesta casa – pensava. Um dia ainda faço um estrago louco. Meu único amigo, enxotado desta maneira!

– Que diabo também, nesta casa tudo é proibido! – gritou, lá do quarto, e ficou esperando a reação da mãe.

– Dez minutos – repetiu ela, com firmeza.

– Todo mundo tem cachorro, só eu que não tenho.

– Você não é todo mundo.

– Também, de hoje em diante eu não estudo mais, não vou mais ao colégio, não faço mais nada.

– Veremos – limitou-se a mãe, de novo distraída com a sua costura.

– A senhora é ruim mesmo, não tem coração!

– Sua alma, sua palma.

Conhecia bem a mãe, sabia que não haveria apelo: tinha dez minutos para brincar com seu novo amigo, e depois… ao fim de dez minutos, a voz da mãe, inexorável:

– Vamos, chega! Leva esse cachorro embora.

– Ah, mamãe, deixa! – choramingou ainda: – Meu melhor amigo, não tenho mais ninguém nesta vida.

– E eu? Que bobagem é essa, você não tem sua mãe?

– Mãe e cachorro não é a mesma coisa.

– Deixa de conversa: obedece sua mãe.

Ele saiu, e seus olhos prometiam vingança. A mãe chegou a se preocupar: meninos nessa idade, uma injustiça praticada e eles perdem a cabeça, um recalque, complexos, essa coisa

– Pronto, mamãe! E exibia-lhe uma nota de vinte e uma de dez: havia vendido seu melhor amigo por trinta dinheiros.

– Eu devia ter pedido cinquenta, tenho certeza que ele dava murmurou, pensativo.

Fonte: http://phaleixo.blogspot.com/

No trecho: “Trate de levar embora esse cachorro agora mesmo!” os termos sublinhados classificam-se sintáticamente como:

 

Provas

Questão presente nas seguintes provas
1162808 Ano: 2019
Disciplina: Português
Banca: Excelência
Orgão: Pref. Taubaté-SP
Provas:

Leia a Crônica abaixo para responder às questões de 1 a 10.

O melhor amigo

Fernando Sabino

A mãe estava na sala, costurando. O menino abriu a porta da rua, meio ressabiado, arriscou um passo para dentro e mediu cautelosamente a distância. Como a mãe não se voltasse para vê-lo, deu uma corridinha em direção de seu quarto.

– Meu filho? – gritou ela.

– O que é – respondeu, com o ar mais natural que lhe foi possível.

– Que é que você está carregando aí?

Como podia ter visto alguma coisa, se nem levantara a cabeça? Sentindo-se perdido, tentou ainda ganhar tempo.

– Eu? Nada…

– Está sim. Você entrou carregando uma coisa.

Pronto: estava descoberto. Não adiantava negar – o jeito era procurar comovê-la. Veio caminhando desconsolado até a sala, mostrou à mãe o que estava carregando:

– Olha aí, mamãe: é um filhote… Seus olhos súplices aguardavam a decisão.

– Um filhote? Onde é que você arranjou isso?

– Achei na rua. Tão bonitinho, não é, mamãe?

Sabia que não adiantava: ela já chamava o filhote de isso. Insistiu ainda:

– Deve estar com fome, olha só a carinha que ele faz.

– Trate de levar embora esse cachorro agora mesmo!

– Ah, mamãe… – já compondo uma cara de choro.

– Tem dez minutos para botar esse bicho na rua. Já disse que não quero animais aqui em casa. Tanta coisa para cuidar, Deus me livre de ainda inventar uma amolação dessas.

O menino tentou enxugar uma lágrima, não havia lágrima. Voltou para o quarto, emburrado:

A gente também não tem nenhum direito nesta casa – pensava. Um dia ainda faço um estrago louco. Meu único amigo, enxotado desta maneira!

– Que diabo também, nesta casa tudo é proibido! – gritou, lá do quarto, e ficou esperando a reação da mãe.

– Dez minutos – repetiu ela, com firmeza.

– Todo mundo tem cachorro, só eu que não tenho.

– Você não é todo mundo.

– Também, de hoje em diante eu não estudo mais, não vou mais ao colégio, não faço mais nada.

– Veremos – limitou-se a mãe, de novo distraída com a sua costura.

– A senhora é ruim mesmo, não tem coração!

– Sua alma, sua palma.

Conhecia bem a mãe, sabia que não haveria apelo: tinha dez minutos para brincar com seu novo amigo, e depois… ao fim de dez minutos, a voz da mãe, inexorável:

– Vamos, chega! Leva esse cachorro embora.

– Ah, mamãe, deixa! – choramingou ainda: – Meu melhor amigo, não tenho mais ninguém nesta vida.

– E eu? Que bobagem é essa, você não tem sua mãe?

– Mãe e cachorro não é a mesma coisa.

– Deixa de conversa: obedece sua mãe.

Ele saiu, e seus olhos prometiam vingança. A mãe chegou a se preocupar: meninos nessa idade, uma injustiça praticada e eles perdem a cabeça, um recalque, complexos, essa coisa

– Pronto, mamãe! E exibia-lhe uma nota de vinte e uma de dez: havia vendido seu melhor amigo por trinta dinheiros.

– Eu devia ter pedido cinquenta, tenho certeza que ele dava murmurou, pensativo.

Fonte: http://phaleixo.blogspot.com/

Assinale a alternativa INCORRETA quanto à divisão e classificação silábica.

 

Provas

Questão presente nas seguintes provas
1162807 Ano: 2019
Disciplina: Português
Banca: Excelência
Orgão: Pref. Taubaté-SP
Provas:

Leia a Crônica abaixo para responder às questões de 1 a 10.

O melhor amigo

Fernando Sabino

A mãe estava na sala, costurando. O menino abriu a porta da rua, meio ressabiado, arriscou um passo para dentro e mediu cautelosamente a distância. Como a mãe não se voltasse para vê-lo, deu uma corridinha em direção de seu quarto.

– Meu filho? – gritou ela.

– O que é – respondeu, com o ar mais natural que lhe foi possível.

– Que é que você está carregando aí?

Como podia ter visto alguma coisa, se nem levantara a cabeça? Sentindo-se perdido, tentou ainda ganhar tempo.

– Eu? Nada…

– Está sim. Você entrou carregando uma coisa.

Pronto: estava descoberto. Não adiantava negar – o jeito era procurar comovê-la. Veio caminhando desconsolado até a sala, mostrou à mãe o que estava carregando:

– Olha aí, mamãe: é um filhote… Seus olhos súplices aguardavam a decisão.

– Um filhote? Onde é que você arranjou isso?

– Achei na rua. Tão bonitinho, não é, mamãe?

Sabia que não adiantava: ela já chamava o filhote de isso. Insistiu ainda:

– Deve estar com fome, olha só a carinha que ele faz.

– Trate de levar embora esse cachorro agora mesmo!

– Ah, mamãe… – já compondo uma cara de choro.

– Tem dez minutos para botar esse bicho na rua. Já disse que não quero animais aqui em casa. Tanta coisa para cuidar, Deus me livre de ainda inventar uma amolação dessas.

O menino tentou enxugar uma lágrima, não havia lágrima. Voltou para o quarto, emburrado:

A gente também não tem nenhum direito nesta casa – pensava. Um dia ainda faço um estrago louco. Meu único amigo, enxotado desta maneira!

– Que diabo também, nesta casa tudo é proibido! – gritou, lá do quarto, e ficou esperando a reação da mãe.

– Dez minutos – repetiu ela, com firmeza.

– Todo mundo tem cachorro, só eu que não tenho.

– Você não é todo mundo.

– Também, de hoje em diante eu não estudo mais, não vou mais ao colégio, não faço mais nada.

– Veremos – limitou-se a mãe, de novo distraída com a sua costura.

– A senhora é ruim mesmo, não tem coração!

– Sua alma, sua palma.

Conhecia bem a mãe, sabia que não haveria apelo: tinha dez minutos para brincar com seu novo amigo, e depois… ao fim de dez minutos, a voz da mãe, inexorável:

– Vamos, chega! Leva esse cachorro embora.

– Ah, mamãe, deixa! – choramingou ainda: – Meu melhor amigo, não tenho mais ninguém nesta vida.

– E eu? Que bobagem é essa, você não tem sua mãe?

– Mãe e cachorro não é a mesma coisa.

– Deixa de conversa: obedece sua mãe.

Ele saiu, e seus olhos prometiam vingança. A mãe chegou a se preocupar: meninos nessa idade, uma injustiça praticada e eles perdem a cabeça, um recalque, complexos, essa coisa

– Pronto, mamãe! E exibia-lhe uma nota de vinte e uma de dez: havia vendido seu melhor amigo por trinta dinheiros.

– Eu devia ter pedido cinquenta, tenho certeza que ele dava murmurou, pensativo.

Fonte: http://phaleixo.blogspot.com/

Assinale a alternativa em que todos os termos apresentem dígrafo consonantal.

 

Provas

Questão presente nas seguintes provas
1162806 Ano: 2019
Disciplina: Português
Banca: Excelência
Orgão: Pref. Taubaté-SP
Provas:

Leia a Crônica abaixo para responder às questões de 1 a 10.

O melhor amigo

Fernando Sabino

A mãe estava na sala, costurando. O menino abriu a porta da rua, meio ressabiado, arriscou um passo para dentro e mediu cautelosamente a distância. Como a mãe não se voltasse para vê-lo, deu uma corridinha em direção de seu quarto.

– Meu filho? – gritou ela.

– O que é – respondeu, com o ar mais natural que lhe foi possível.

– Que é que você está carregando aí?

Como podia ter visto alguma coisa, se nem levantara a cabeça? Sentindo-se perdido, tentou ainda ganhar tempo.

– Eu? Nada…

– Está sim. Você entrou carregando uma coisa.

Pronto: estava descoberto. Não adiantava negar – o jeito era procurar comovê-la. Veio caminhando desconsolado até a sala, mostrou à mãe o que estava carregando:

– Olha aí, mamãe: é um filhote… Seus olhos súplices aguardavam a decisão.

– Um filhote? Onde é que você arranjou isso?

– Achei na rua. Tão bonitinho, não é, mamãe?

Sabia que não adiantava: ela já chamava o filhote de isso. Insistiu ainda:

– Deve estar com fome, olha só a carinha que ele faz.

– Trate de levar embora esse cachorro agora mesmo!

– Ah, mamãe… – já compondo uma cara de choro.

– Tem dez minutos para botar esse bicho na rua. Já disse que não quero animais aqui em casa. Tanta coisa para cuidar, Deus me livre de ainda inventar uma amolação dessas.

O menino tentou enxugar uma lágrima, não havia lágrima. Voltou para o quarto, emburrado:

A gente também não tem nenhum direito nesta casa – pensava. Um dia ainda faço um estrago louco. Meu único amigo, enxotado desta maneira!

– Que diabo também, nesta casa tudo é proibido! – gritou, lá do quarto, e ficou esperando a reação da mãe.

– Dez minutos – repetiu ela, com firmeza.

– Todo mundo tem cachorro, só eu que não tenho.

– Você não é todo mundo.

– Também, de hoje em diante eu não estudo mais, não vou mais ao colégio, não faço mais nada.

– Veremos – limitou-se a mãe, de novo distraída com a sua costura.

– A senhora é ruim mesmo, não tem coração!

– Sua alma, sua palma.

Conhecia bem a mãe, sabia que não haveria apelo: tinha dez minutos para brincar com seu novo amigo, e depois… ao fim de dez minutos, a voz da mãe, inexorável:

– Vamos, chega! Leva esse cachorro embora.

– Ah, mamãe, deixa! – choramingou ainda: – Meu melhor amigo, não tenho mais ninguém nesta vida.

– E eu? Que bobagem é essa, você não tem sua mãe?

– Mãe e cachorro não é a mesma coisa.

– Deixa de conversa: obedece sua mãe.

Ele saiu, e seus olhos prometiam vingança. A mãe chegou a se preocupar: meninos nessa idade, uma injustiça praticada e eles perdem a cabeça, um recalque, complexos, essa coisa

– Pronto, mamãe! E exibia-lhe uma nota de vinte e uma de dez: havia vendido seu melhor amigo por trinta dinheiros.

– Eu devia ter pedido cinquenta, tenho certeza que ele dava murmurou, pensativo.

Fonte: http://phaleixo.blogspot.com/

Assinale a alternativa que NÃO apresenta erro com relação à regência.

 

Provas

Questão presente nas seguintes provas
1162805 Ano: 2019
Disciplina: Português
Banca: Excelência
Orgão: Pref. Taubaté-SP
Provas:

Leia a Crônica abaixo para responder às questões de 1 a 10.

O melhor amigo

Fernando Sabino

A mãe estava na sala, costurando. O menino abriu a porta da rua, meio ressabiado, arriscou um passo para dentro e mediu cautelosamente a distância. Como a mãe não se voltasse para vê-lo, deu uma corridinha em direção de seu quarto.

– Meu filho? – gritou ela.

– O que é – respondeu, com o ar mais natural que lhe foi possível.

– Que é que você está carregando aí?

Como podia ter visto alguma coisa, se nem levantara a cabeça? Sentindo-se perdido, tentou ainda ganhar tempo.

– Eu? Nada…

– Está sim. Você entrou carregando uma coisa.

Pronto: estava descoberto. Não adiantava negar – o jeito era procurar comovê-la. Veio caminhando desconsolado até a sala, mostrou à mãe o que estava carregando:

– Olha aí, mamãe: é um filhote… Seus olhos súplices aguardavam a decisão.

– Um filhote? Onde é que você arranjou isso?

– Achei na rua. Tão bonitinho, não é, mamãe?

Sabia que não adiantava: ela já chamava o filhote de isso. Insistiu ainda:

– Deve estar com fome, olha só a carinha que ele faz.

– Trate de levar embora esse cachorro agora mesmo!

– Ah, mamãe… – já compondo uma cara de choro.

– Tem dez minutos para botar esse bicho na rua. Já disse que não quero animais aqui em casa. Tanta coisa para cuidar, Deus me livre de ainda inventar uma amolação dessas.

O menino tentou enxugar uma lágrima, não havia lágrima. Voltou para o quarto, emburrado:

A gente também não tem nenhum direito nesta casa – pensava. Um dia ainda faço um estrago louco. Meu único amigo, enxotado desta maneira!

– Que diabo também, nesta casa tudo é proibido! – gritou, lá do quarto, e ficou esperando a reação da mãe.

– Dez minutos – repetiu ela, com firmeza.

– Todo mundo tem cachorro, só eu que não tenho.

– Você não é todo mundo.

– Também, de hoje em diante eu não estudo mais, não vou mais ao colégio, não faço mais nada.

– Veremos – limitou-se a mãe, de novo distraída com a sua costura.

– A senhora é ruim mesmo, não tem coração!

– Sua alma, sua palma.

Conhecia bem a mãe, sabia que não haveria apelo: tinha dez minutos para brincar com seu novo amigo, e depois… ao fim de dez minutos, a voz da mãe, inexorável:

– Vamos, chega! Leva esse cachorro embora.

– Ah, mamãe, deixa! – choramingou ainda: – Meu melhor amigo, não tenho mais ninguém nesta vida.

– E eu? Que bobagem é essa, você não tem sua mãe?

– Mãe e cachorro não é a mesma coisa.

– Deixa de conversa: obedece sua mãe.

Ele saiu, e seus olhos prometiam vingança. A mãe chegou a se preocupar: meninos nessa idade, uma injustiça praticada e eles perdem a cabeça, um recalque, complexos, essa coisa

– Pronto, mamãe! E exibia-lhe uma nota de vinte e uma de dez: havia vendido seu melhor amigo por trinta dinheiros.

– Eu devia ter pedido cinquenta, tenho certeza que ele dava murmurou, pensativo.

Fonte: http://phaleixo.blogspot.com/

Assinale a alternativa que aponte a figura de linguagem presente no trecho: “Ele saiu, e seus olhos prometiam vingança.”

 

Provas

Questão presente nas seguintes provas
1162804 Ano: 2019
Disciplina: Português
Banca: Excelência
Orgão: Pref. Taubaté-SP
Provas:

Leia a Crônica abaixo para responder às questões de 1 a 10.

O melhor amigo

Fernando Sabino

A mãe estava na sala, costurando. O menino abriu a porta da rua, meio ressabiado, arriscou um passo para dentro e mediu cautelosamente a distância. Como a mãe não se voltasse para vê-lo, deu uma corridinha em direção de seu quarto.

– Meu filho? – gritou ela.

– O que é – respondeu, com o ar mais natural que lhe foi possível.

– Que é que você está carregando aí?

Como podia ter visto alguma coisa, se nem levantara a cabeça? Sentindo-se perdido, tentou ainda ganhar tempo.

– Eu? Nada…

– Está sim. Você entrou carregando uma coisa.

Pronto: estava descoberto. Não adiantava negar – o jeito era procurar comovê-la. Veio caminhando desconsolado até a sala, mostrou à mãe o que estava carregando:

– Olha aí, mamãe: é um filhote… Seus olhos súplices aguardavam a decisão.

– Um filhote? Onde é que você arranjou isso?

– Achei na rua. Tão bonitinho, não é, mamãe?

Sabia que não adiantava: ela já chamava o filhote de isso. Insistiu ainda:

– Deve estar com fome, olha só a carinha que ele faz.

– Trate de levar embora esse cachorro agora mesmo!

– Ah, mamãe… – já compondo uma cara de choro.

– Tem dez minutos para botar esse bicho na rua. Já disse que não quero animais aqui em casa. Tanta coisa para cuidar, Deus me livre de ainda inventar uma amolação dessas.

O menino tentou enxugar uma lágrima, não havia lágrima. Voltou para o quarto, emburrado:

A gente também não tem nenhum direito nesta casa – pensava. Um dia ainda faço um estrago louco. Meu único amigo, enxotado desta maneira!

– Que diabo também, nesta casa tudo é proibido! – gritou, lá do quarto, e ficou esperando a reação da mãe.

– Dez minutos – repetiu ela, com firmeza.

– Todo mundo tem cachorro, só eu que não tenho.

– Você não é todo mundo.

– Também, de hoje em diante eu não estudo mais, não vou mais ao colégio, não faço mais nada.

– Veremos – limitou-se a mãe, de novo distraída com a sua costura.

– A senhora é ruim mesmo, não tem coração!

– Sua alma, sua palma.

Conhecia bem a mãe, sabia que não haveria apelo: tinha dez minutos para brincar com seu novo amigo, e depois… ao fim de dez minutos, a voz da mãe, inexorável:

– Vamos, chega! Leva esse cachorro embora.

– Ah, mamãe, deixa! – choramingou ainda: – Meu melhor amigo, não tenho mais ninguém nesta vida.

– E eu? Que bobagem é essa, você não tem sua mãe?

– Mãe e cachorro não é a mesma coisa.

– Deixa de conversa: obedece sua mãe.

Ele saiu, e seus olhos prometiam vingança. A mãe chegou a se preocupar: meninos nessa idade, uma injustiça praticada e eles perdem a cabeça, um recalque, complexos, essa coisa

– Pronto, mamãe! E exibia-lhe uma nota de vinte e uma de dez: havia vendido seu melhor amigo por trinta dinheiros.

– Eu devia ter pedido cinquenta, tenho certeza que ele dava murmurou, pensativo.

Fonte: http://phaleixo.blogspot.com/

No trecho “ao fim de dez minutos, a voz da mãe, inexorável: – Vamos, chega! Leva esse cachorro embora.”, o termo em destaque poderia ser substituído sem prejuízo de sentido por:

 

Provas

Questão presente nas seguintes provas
1162803 Ano: 2019
Disciplina: Português
Banca: Excelência
Orgão: Pref. Taubaté-SP
Provas:

Leia a Crônica abaixo para responder às questões de 1 a 10.

O melhor amigo

Fernando Sabino

A mãe estava na sala, costurando. O menino abriu a porta da rua, meio ressabiado, arriscou um passo para dentro e mediu cautelosamente a distância. Como a mãe não se voltasse para vê-lo, deu uma corridinha em direção de seu quarto.

– Meu filho? – gritou ela.

– O que é – respondeu, com o ar mais natural que lhe foi possível.

– Que é que você está carregando aí?

Como podia ter visto alguma coisa, se nem levantara a cabeça? Sentindo-se perdido, tentou ainda ganhar tempo.

– Eu? Nada…

– Está sim. Você entrou carregando uma coisa.

Pronto: estava descoberto. Não adiantava negar – o jeito era procurar comovê-la. Veio caminhando desconsolado até a sala, mostrou à mãe o que estava carregando:

– Olha aí, mamãe: é um filhote… Seus olhos súplices aguardavam a decisão.

– Um filhote? Onde é que você arranjou isso?

– Achei na rua. Tão bonitinho, não é, mamãe?

Sabia que não adiantava: ela já chamava o filhote de isso. Insistiu ainda:

– Deve estar com fome, olha só a carinha que ele faz.

– Trate de levar embora esse cachorro agora mesmo!

– Ah, mamãe… – já compondo uma cara de choro.

– Tem dez minutos para botar esse bicho na rua. Já disse que não quero animais aqui em casa. Tanta coisa para cuidar, Deus me livre de ainda inventar uma amolação dessas.

O menino tentou enxugar uma lágrima, não havia lágrima. Voltou para o quarto, emburrado:

A gente também não tem nenhum direito nesta casa – pensava. Um dia ainda faço um estrago louco. Meu único amigo, enxotado desta maneira!

– Que diabo também, nesta casa tudo é proibido! – gritou, lá do quarto, e ficou esperando a reação da mãe.

– Dez minutos – repetiu ela, com firmeza.

– Todo mundo tem cachorro, só eu que não tenho.

– Você não é todo mundo.

– Também, de hoje em diante eu não estudo mais, não vou mais ao colégio, não faço mais nada.

– Veremos – limitou-se a mãe, de novo distraída com a sua costura.

– A senhora é ruim mesmo, não tem coração!

– Sua alma, sua palma.

Conhecia bem a mãe, sabia que não haveria apelo: tinha dez minutos para brincar com seu novo amigo, e depois… ao fim de dez minutos, a voz da mãe, inexorável:

– Vamos, chega! Leva esse cachorro embora.

– Ah, mamãe, deixa! – choramingou ainda: – Meu melhor amigo, não tenho mais ninguém nesta vida.

– E eu? Que bobagem é essa, você não tem sua mãe?

– Mãe e cachorro não é a mesma coisa.

– Deixa de conversa: obedece sua mãe.

Ele saiu, e seus olhos prometiam vingança. A mãe chegou a se preocupar: meninos nessa idade, uma injustiça praticada e eles perdem a cabeça, um recalque, complexos, essa coisa

– Pronto, mamãe! E exibia-lhe uma nota de vinte e uma de dez: havia vendido seu melhor amigo por trinta dinheiros.

– Eu devia ter pedido cinquenta, tenho certeza que ele dava murmurou, pensativo.

Fonte: http://phaleixo.blogspot.com/

Sobre o envolvimento das personagens com a animal encontrado na rua, analise as afirmações abaixo e assinale V para as verdadeiras e F para as falsas.

( ) O garoto, logo no início da discussão com a mãe, sabe que não a comoverá, conforme podemos constatar no trecho “Sabia que não adiantava: ela já chamava o filhote de isso.”

( ) A mãe não permite que o garoto fique com o cachorro, pois sente ciúmes da relação estabelecida entre eles, conforme evidencia-se no seguinte trecho: “E eu? Que bobagem é essa, você não tem sua mãe?”

( ) O trecho “O menino tentou enxugar uma lágrima, não havia lágrima” é um indício do desfecho do texto e do apego instável do garoto pelo cachorro.

( ) A preocupação da mãe, no trecho “A mãe chegou a se preocupar: meninos nessa idade, uma injustiça praticada e eles perdem a cabeça, um recalque, complexos, essa coisa”, é um artifício do autor para que o leitor crie uma expectativa e seja surpreendido pelo desfecho da narrativa.

Assinale a alternativa que indica a sequência CORRETA.

 

Provas

Questão presente nas seguintes provas
1162802 Ano: 2019
Disciplina: Português
Banca: Excelência
Orgão: Pref. Taubaté-SP
Provas:

Leia a Crônica abaixo para responder às questões de 1 a 10.

O melhor amigo

Fernando Sabino

A mãe estava na sala, costurando. O menino abriu a porta da rua, meio ressabiado, arriscou um passo para dentro e mediu cautelosamente a distância. Como a mãe não se voltasse para vê-lo, deu uma corridinha em direção de seu quarto.

– Meu filho? – gritou ela.

– O que é – respondeu, com o ar mais natural que lhe foi possível.

– Que é que você está carregando aí?

Como podia ter visto alguma coisa, se nem levantara a cabeça? Sentindo-se perdido, tentou ainda ganhar tempo.

– Eu? Nada…

– Está sim. Você entrou carregando uma coisa.

Pronto: estava descoberto. Não adiantava negar – o jeito era procurar comovê-la. Veio caminhando desconsolado até a sala, mostrou à mãe o que estava carregando:

– Olha aí, mamãe: é um filhote… Seus olhos súplices aguardavam a decisão.

– Um filhote? Onde é que você arranjou isso?

– Achei na rua. Tão bonitinho, não é, mamãe?

Sabia que não adiantava: ela já chamava o filhote de isso. Insistiu ainda:

– Deve estar com fome, olha só a carinha que ele faz.

– Trate de levar embora esse cachorro agora mesmo!

– Ah, mamãe… – já compondo uma cara de choro.

– Tem dez minutos para botar esse bicho na rua. Já disse que não quero animais aqui em casa. Tanta coisa para cuidar, Deus me livre de ainda inventar uma amolação dessas.

O menino tentou enxugar uma lágrima, não havia lágrima. Voltou para o quarto, emburrado:

A gente também não tem nenhum direito nesta casa – pensava. Um dia ainda faço um estrago louco. Meu único amigo, enxotado desta maneira!

– Que diabo também, nesta casa tudo é proibido! – gritou, lá do quarto, e ficou esperando a reação da mãe.

– Dez minutos – repetiu ela, com firmeza.

– Todo mundo tem cachorro, só eu que não tenho.

– Você não é todo mundo.

– Também, de hoje em diante eu não estudo mais, não vou mais ao colégio, não faço mais nada.

– Veremos – limitou-se a mãe, de novo distraída com a sua costura.

– A senhora é ruim mesmo, não tem coração!

– Sua alma, sua palma.

Conhecia bem a mãe, sabia que não haveria apelo: tinha dez minutos para brincar com seu novo amigo, e depois… ao fim de dez minutos, a voz da mãe, inexorável:

– Vamos, chega! Leva esse cachorro embora.

– Ah, mamãe, deixa! – choramingou ainda: – Meu melhor amigo, não tenho mais ninguém nesta vida.

– E eu? Que bobagem é essa, você não tem sua mãe?

– Mãe e cachorro não é a mesma coisa.

– Deixa de conversa: obedece sua mãe.

Ele saiu, e seus olhos prometiam vingança. A mãe chegou a se preocupar: meninos nessa idade, uma injustiça praticada e eles perdem a cabeça, um recalque, complexos, essa coisa

– Pronto, mamãe! E exibia-lhe uma nota de vinte e uma de dez: havia vendido seu melhor amigo por trinta dinheiros.

– Eu devia ter pedido cinquenta, tenho certeza que ele dava murmurou, pensativo.

Fonte: http://phaleixo.blogspot.com/

Com relação à crônica lida, considere as seguintes afirmações:

I. Os clichês na relação entre mãe e filho contribuem para o humor da crônica, como se pode constatar no trecho:

“– Todo mundo tem cachorro, só eu que não tenho. – Você não é todo mundo.”

II. Pode-se afirmar que o principal tema abordado no texto é a volubilidade dos desejos das crianças.

III. O título pode ser considerado irônico, tendo em vista o desfecho da crônica.

Está CORRETO apenas o que se afirma em:

 

Provas

Questão presente nas seguintes provas
1162801 Ano: 2019
Disciplina: Matemática
Banca: Excelência
Orgão: Pref. Taubaté-SP

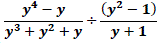
Simplifique a expressão numérica a seguir:

Enunciado 1162801-1

Supondo y3 + y2 + y ≠ 0, y ≠ 1 e y ≠ −1.

 

Provas

Questão presente nas seguintes provas
1162800 Ano: 2019
Disciplina: Informática
Banca: Excelência
Orgão: Pref. Taubaté-SP

Existe um comando que cria documentos falsos para testes de recursos no Microsoft Word. Esse comando usa uma estrutura variável, onde as letras x e y representam, respectivamente, o número de parágrafos e o número de frases em tais parágrafos. Qual comando o trecho refere-se?

 

Provas

Questão presente nas seguintes provas