Foram encontradas 110 questões.
Joaquim, servidor da prefeitura do município de Tanguá, recebeu a tarefa de determinar a média
aritmética da quantidade de servidores por departamento. Joaquim fez o levantamento dos 15
departamentos existentes e encontrou uma média de 10,2 servidores por departamento. Depois de um
mês, devido à aposentadoria de um número significativo de servidores, o número de departamentos foi
reduzido para 14 e Joaquim calculou a nova média como sendo de 9,5 servidores por departamento. Qual
é a quantidade de servidores que se aposentaram?
Provas
Questão presente nas seguintes provas
Um retângulo, de comprimento igual a 18,5 cm, tem uma área de 148 cm². Qual é o perímetro desse
retângulo?
Provas
Questão presente nas seguintes provas
Aos domingos, Bruno faz um treino com a sua bicicleta. Em um certo domingo, após alguns
quilômetros parou para tirar algumas fotos e a seguir percorreu o quádruplo da quantidade de quilômetros
que havia percorrido antes de parar. Se ao todo percorreu 20 km, quantos quilômetros percorreu após a
parada para as fotos?
Provas
Questão presente nas seguintes provas
Dadas as matrizes
, calcular a matriz C=3A + 2B. O resultado será igual
Provas
Questão presente nas seguintes provas
Um copo tem o formato de um cilindro reto com raio da base medindo 4cm e altura de 10 cm. Qual o
volume desse copo?
Provas
Questão presente nas seguintes provas
Dividir um número por 0,025 é equivalente a multiplicá-lo por:
Provas
Questão presente nas seguintes provas
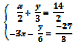
Resolva o seguinte sistema de equações:

Qual é o valor correto de y?
Provas
Questão presente nas seguintes provas
Tomando três números primos entre si, é obtido o mínimo múltiplo comum desses números como
sendo 435. Sabendo que dois desses números são 3 e 5, qual é o valor do número que falta?
Provas
Questão presente nas seguintes provas
Raoni comprou um fogão com 25% de desconto, pagando por ele R$ 330,00. Qual era o preço do fogão
sem o desconto?
Provas
Questão presente nas seguintes provas
- FundamentosOperações Fundamentais
- FundamentosPotenciação e RadiciaçãoPotenciação
- FundamentosFrações e Números Decimais
Com base nas operações e propriedades dos números reais, resolva a expressão abaixo:

Qual é o valor correto de x?
Provas
Questão presente nas seguintes provas
Cadernos
Caderno Container