Foram encontradas 60 questões.
Provas
Provas
Considere a imagem abaixo:

O valor de x é igual a:
Provas
Analise as afirmativas abaixo:
I- O ponto de encontro das medianas é o ortocentro.
II- O incentro é o ponto onde de encontro das bissetrizes de um triângulo.
III- Todo triângulo possui quatro mediatrizes que se encontram em um ponto denominado circuncentro.
IV- A altura é uma ceviana que parte de um vértice e faz 90° com o lado oposto ao mesmo.
V - A bissetriz parte de um vértice do triângulo e divide ao meio o ângulo referente a esse vértice.
Está(ão) correta(s) apenas a(s) afirmativa(s):
Provas
Provas
Provas
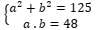
Considerado que a e b são números reais positivos, calcule o valor de (a – b)², sabendo-se que:
![]()
Provas
Analise as afirmativas abaixo:
I- Todo retângulo é um quadrado.
II- Nem todo paralelogramo é um trapézio.
III- Todo losango é um paralelogramo.
IV- Nem todo retângulo é um trapézio.
Está(ão) correta(s) a(s) afirmativa(s):
Provas
Fabiana deseja construir uma rampa de acesso a garagem de sua casa, como esquematizado na figura abaixo:

Desse modo, qual será a medida do comprimento dessa rampa?
Provas
A avaliação deve possibilitar aos educandos condições de autonomia promovendo a autoavaliação, a fim de que, o aluno empreenda papéis ativos no desenvolvimento de seu conhecimento, tornando-se também sujeito histórico de sua formação. Não tem a finalidade de medição da aprendizagem em parâmetros que consideram o quanto se aprendeu, mas sim o que se aprendeu. Nesse contexto, podemos inferir que, as características apresentadas, se refere a avaliação:
Provas
Caderno Container