Foram encontradas 486 questões.
Disciplina: Legislação de Trânsito
Banca: VUNESP
Orgão: Pref. Sertãozinho-SP
Provas
Disciplina: Legislação de Trânsito
Banca: VUNESP
Orgão: Pref. Sertãozinho-SP
Provas
Provas
Provas
Provas
Provas
Observe a figura:

Em desenho técnico, a figura representa, em área de corte por meio de hachuras, o material
Provas
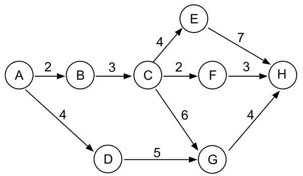
Observe a figura a seguir.

No diagrama de um projeto, esquematizado na figura, os eventos estão representados por círculos, e a duração das atividades entre os eventos, em semanas, é dada ao lado das setas. O caminho crítico desse projeto é, em semanas,
Provas
Observe a figura a seguir.

Nas estruturas mistas de aço e concreto, a telha-forma de aço colaborante representada na figura é a
Provas
Observe a figura a seguir.

A figura representa a treliça plana de uma cobertura com sete barras de madeira de comprimento igual a 2 metros. Considerando o carregamento vertical de 8 kN nos nós A e B, uma das barras submetida apenas à tração é
Provas
Caderno Container