Foram encontradas 261 questões.

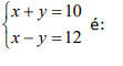
A solução do seguinte sistema de equações de primeiro grau 
Provas
Questão presente nas seguintes provas
O volume total de um cubo cuja diagonal da face tenha medida
3√2
é:
Provas
Questão presente nas seguintes provas
Sabendo que sen(x) = 8/17 e que “x” é um arco do primeiro quadrante, então o valor
de
cos(x)
será:
Provas
Questão presente nas seguintes provas
Lista de símbolos:
⇒Condicional
⇔ Bicondicional
∧ Conector “e”
∨ Conector “ou”
⊻ Conector “ou” exclusivo
¬ Negação da proposição
Provas
Questão presente nas seguintes provas
As raízes da equação do segundo grau
3x2 - 21x + 30 = 0 são:
Provas
Questão presente nas seguintes provas
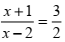
O valor de “x” na proporção
é:
Provas
Questão presente nas seguintes provas
O volume total de um cilindro circular reto cuja medida do raio da base seja 4 e sua
altura seja 7 é:
Provas
Questão presente nas seguintes provas
- SintaxeColocação Pronominal
- MorfologiaPronomes
- SemânticaSinônimos e Antônimos
- Interpretação de TextosCoesão e Coerência

I. A substituição de ‘autômatos’ (l. 18) por ‘autônomos” não implicaria alteração semântica no período, visto que o vocábulo atende pela dupla grafia. II. O uso ‘se tornar’ em lugar de ‘se transformar’ (l. 19) manteria a relação sintática e semântica estabelecida no período. III. A substituição de ‘nos últimos trinta anos’ (l. 21) por ‘no último triênio’ não provocaria nenhuma alteração no período. IV. O deslocamento do pronome oblíquo que ocorre na linha 24 para imediatamente antes do verbo que o tem como complemento implicaria erro no que diz respeito à sintaxe de colocação. V. A supressão do vocábulo ‘mais’ (l. 28 e 29) implicaria alteração semântica no período.
Quais estão corretas?
Provas
Questão presente nas seguintes provas

Provas
Questão presente nas seguintes provas
Texto 3

Provas
Questão presente nas seguintes provas
Cadernos
Caderno Container