Magna Concursos

Foram encontradas 309 questões.

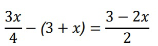
Obtenha o resultado para x na equação abaixo e assinale a alternativa correta:
enunciado 873672-1
 

Provas

Questão presente nas seguintes provas
Um veículo, com consumo de 12 km/litro de combustível, percorreu 144 km em uma rodovia. Pode-se dizer que seu gasto, em litros de combustível, foi de:
 

Provas

Questão presente nas seguintes provas

enunciado 873670-1

Em “[...] no filho tantas vezes semeado, às vezes vingado por alguns dias, mas que não floresceu; abrindo parágrafos de ódio inexplicável entre o pólen e o gineceu de duas flores” (linha 19), é correto afirmar que:
 

Provas

Questão presente nas seguintes provas

enunciado 873669-1

Em uma crônica, o autor utiliza de linguagem lírica, onde as palavras escolhidas são poéticas e com significados profundos. No trecho “[...] do cigarro que ele atira de raiva contra um automóvel ou que ela esmaga no cinzeiro repleto, polvilhando de cinzas o escarlate das unhas” (linha 5), o termo sublinhado tem como significado:
 

Provas

Questão presente nas seguintes provas
873668 Ano: 2019
Disciplina: Português
Banca: IDCAP
Orgão: Pref. São Roque Canaã-ES
Em relação ao número de sílabas, a palavra “apostila” é classificada como:
 

Provas

Questão presente nas seguintes provas
873667 Ano: 2019
Disciplina: Português
Banca: IDCAP
Orgão: Pref. São Roque Canaã-ES
A questão diz respeito ao Poema. Leia-o atentamente antes de respondê-la.


enunciado 873667-1

A expressão “tentou contra a existência”, presente no primeiro verso, tem como significado:
 

Provas

Questão presente nas seguintes provas

enunciado 873666-1

Em “[...] diferentes dos parques de ouro onde começou a pulsar (linha 3), assinale a alternativa que contenha uma sinonímia correta do termo destacado:
 

Provas

Questão presente nas seguintes provas
873665 Ano: 2019
Disciplina: Português
Banca: IDCAP
Orgão: Pref. São Roque Canaã-ES
A questão diz respeito ao Poema. Leia-o atentamente antes de respondê-la.


enunciado 873665-1

Assinale a alternativa que resume corretamente o poema:
 

Provas

Questão presente nas seguintes provas

enunciado 873664-1

Analise a frase abaixo:
“Carla é uma profissional muito simpática, gentilmente me deu preferência do atendimento.”
Assinale a alternativa que classifique correta e respectivamente os termos destacados:
 

Provas

Questão presente nas seguintes provas
873663 Ano: 2019
Disciplina: Português
Banca: IDCAP
Orgão: Pref. São Roque Canaã-ES
Analise a tirinha abaixo:
enunciado 873663-1
A figura de linguagem utilizada na tirinha recebe o nome de:
 

Provas

Questão presente nas seguintes provas