Foram encontradas 49 questões.
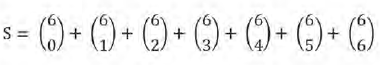
Qual o valor da soma dos números binomiais?

Provas
"Ao congelar-se, a água aumenta 1/15 seu volume". Quantos litros de água preciso congelar para obter um bloco com forma de paralelepípedo e dimensões 10 dm x 6 dm x4 dm?

Provas

Provas
Ética de princípios.
Rubem Alves
AS DUAS ÉTICAS: a ética que brota da contemplação das estrelas perfeitas, imutáveis e mortas, a que os filósofos dão o nome de ética de princípios, e a ética que brota da contemplação dos jardins imperfeitos e mutáveis, mas vivos - a que os filósofos dão o nome de ética contextual.
Os jardineiros não olham para as estrelas. Eles nada sabem sobre os estrelas que alguns dizem já ter visto por revelação dos deuses. Como os homens comuns não veem essas estrelas, eles têm de acreditar na palavra dos que dizem já as ter visto longe, muito longe ... Os jardineiros só acreditam no que os seus olhos veem. Pensam a partir da experiência: pegam a terra com as mãos e a cheiram...
Vou aplicar a metáfora a uma situação concreta. A mulher está com câncer em estado avançado. É certo que ela morrerá. Ela suspeita disso e tem medo. O médico vai visitá-la. Olhando, do fundo do seu medo, no fundo dos olhos do médico ela pergunta: “Doutor, será que eu escapo desta?”
Está configurada uma situação ética. Que é que o médico vai dizer? Se o médico for um adepto da ética estrelar de princípios, a resposta será simples. Ele não terá que decidir ou escolher. O princípio é claro: dizer a verdade sempre. A enferma perguntou. A resposta terá de ser a verdade. E ele, então, responderá: “Não, a senhora não escapará desta. A senhora vai morrer ...”. Respondeu segundo um princípio invariável para todas as situações.
A lealdade a um princípio o livra de um pensamento perturbador: o que a verdade irá fazer com o corpo e a alma daquela mulher? O princípio, sendo absoluto, não leva em consideração o potencial destruidor da verdade. Mas, se for um jardineiro, ele não se lembrará de nenhum princípio. Ele só pensará nos olhos suplicantes daquela mulher. Pensará que a sua palavra terá que produzir a bondade. E ele se perguntará: “Que palavra eu posso dizer que, não sendo um engano - 'A senhora breve estará curada ...' -, cuidará da mulher como se a palavra fosse um colo que acolhe uma criança?” E ele dirá: “Você me faz essa pergunta porque você está com medo de morrer. Também tenho medo de morrer ...”. Aí, então, os dois conversarão longamente - como se estivessem de mãos dadas ... - sobre a morte que os dois haverão de enfrentar.
Com o sugeriu o apóstolo Paulo, a verdade está subordinada à bondade. Pela ética de princípios, o uso da camisinha, a pesquisa das células-tronco, o aborto de fetos sem cérebro, o divórcio, a eutanásia são questões resolvidas que não requerem decisões: os princípios universais os proíbem. Mas a ética contextual nos obriga a fazer perguntas sobre o bem ou o mal que uma ação irá criar. O uso da camisinha contribui para diminuir a incidência da Aids? As pesquisas com células-tronco contribuem para trazer a cura para uma infinidade de doenças? O aborto de um feto sem cérebro contribuirá para diminuir a dor de uma mulher? O divórcio contribuirá para que homens e mulheres possam recomeçar suas vidas afetivas? A eutanásia pode ser o único caminho para libertar uma pessoa da dor que não a deixará?
Duas éticas. A única pergunta a se fazer é: “Qual delas está mais a serviço do amor?”
Provas
Ética de princípios.
Rubem Alves
AS DUAS ÉTICAS: a ética que brota da contemplação das estrelas perfeitas, imutáveis e mortas, a que os filósofos dão o nome de ética de princípios, e a ética que brota da contemplação dos jardins imperfeitos e mutáveis, mas vivos - a que os filósofos dão o nome de ética contextual.
Os jardineiros não olham para as estrelas. Eles nada sabem sobre os estrelas que alguns dizem já ter visto por revelação dos deuses. Como os homens comuns não veem essas estrelas, eles têm de acreditar na palavra dos que dizem já as ter visto longe, muito longe ... Os jardineiros só acreditam no que os seus olhos veem. Pensam a partir da experiência: pegam a terra com as mãos e a cheiram...
Vou aplicar a metáfora a uma situação concreta. A mulher está com câncer em estado avançado. É certo que ela morrerá. Ela suspeita disso e tem medo. O médico vai visitá-la. Olhando, do fundo do seu medo, no fundo dos olhos do médico ela pergunta: “Doutor, será que eu escapo desta?”
Está configurada uma situação ética. Que é que o médico vai dizer? Se o médico for um adepto da ética estrelar de princípios, a resposta será simples. Ele não terá que decidir ou escolher. O princípio é claro: dizer a verdade sempre. A enferma perguntou. A resposta terá de ser a verdade. E ele, então, responderá: “Não, a senhora não escapará desta. A senhora vai morrer ...”. Respondeu segundo um princípio invariável para todas as situações.
A lealdade a um princípio o livra de um pensamento perturbador: o que a verdade irá fazer com o corpo e a alma daquela mulher? O princípio, sendo absoluto, não leva em consideração o potencial destruidor da verdade. Mas, se for um jardineiro, ele não se lembrará de nenhum princípio. Ele só pensará nos olhos suplicantes daquela mulher. Pensará que a sua palavra terá que produzir a bondade. E ele se perguntará: “Que palavra eu posso dizer que, não sendo um engano - 'A senhora breve estará curada ...' -, cuidará da mulher como se a palavra fosse um colo que acolhe uma criança?” E ele dirá: “Você me faz essa pergunta porque você está com medo de morrer. Também tenho medo de morrer ...”. Aí, então, os dois conversarão longamente - como se estivessem de mãos dadas ... - sobre a morte que os dois haverão de enfrentar.
Com o sugeriu o apóstolo Paulo, a verdade está subordinada à bondade. Pela ética de princípios, o uso da camisinha, a pesquisa das células-tronco, o aborto de fetos sem cérebro, o divórcio, a eutanásia são questões resolvidas que não requerem decisões: os princípios universais os proíbem. Mas a ética contextual nos obriga a fazer perguntas sobre o bem ou o mal que uma ação irá criar. O uso da camisinha contribui para diminuir a incidência da Aids? As pesquisas com células-tronco contribuem para trazer a cura para uma infinidade de doenças? O aborto de um feto sem cérebro contribuirá para diminuir a dor de uma mulher? O divórcio contribuirá para que homens e mulheres possam recomeçar suas vidas afetivas? A eutanásia pode ser o único caminho para libertar uma pessoa da dor que não a deixará?
Duas éticas. A única pergunta a se fazer é: “Qual delas está mais a serviço do amor?”
Provas
Ética de princípios.
Rubem Alves
AS DUAS ÉTICAS: a ética que brota da contemplação das estrelas perfeitas, imutáveis e mortas, a que os filósofos dão o nome de ética de princípios, e a ética que brota da contemplação dos jardins imperfeitos e mutáveis, mas vivos - a que os filósofos dão o nome de ética contextual.
Os jardineiros não olham para as estrelas. Eles nada sabem sobre os estrelas que alguns dizem já ter visto por revelação dos deuses. Como os homens comuns não veem essas estrelas, eles têm de acreditar na palavra dos que dizem já as ter visto longe, muito longe ... Os jardineiros só acreditam no que os seus olhos veem. Pensam a partir da experiência: pegam a terra com as mãos e a cheiram...
Vou aplicar a metáfora a uma situação concreta. A mulher está com câncer em estado avançado. É certo que ela morrerá. Ela suspeita disso e tem medo. O médico vai visitá-la. Olhando, do fundo do seu medo, no fundo dos olhos do médico ela pergunta: “Doutor, será que eu escapo desta?”
Está configurada uma situação ética. Que é que o médico vai dizer? Se o médico for um adepto da ética estrelar de princípios, a resposta será simples. Ele não terá que decidir ou escolher. O princípio é claro: dizer a verdade sempre. A enferma perguntou. A resposta terá de ser a verdade. E ele, então, responderá: “Não, a senhora não escapará desta. A senhora vai morrer ...”. Respondeu segundo um princípio invariável para todas as situações.
A lealdade a um princípio o livra de um pensamento perturbador: o que a verdade irá fazer com o corpo e a alma daquela mulher? O princípio, sendo absoluto, não leva em consideração o potencial destruidor da verdade. Mas, se for um jardineiro, ele não se lembrará de nenhum princípio. Ele só pensará nos olhos suplicantes daquela mulher. Pensará que a sua palavra terá que produzir a bondade. E ele se perguntará: “Que palavra eu posso dizer que, não sendo um engano - 'A senhora breve estará curada ...' -, cuidará da mulher como se a palavra fosse um colo que acolhe uma criança?” E ele dirá: “Você me faz essa pergunta porque você está com medo de morrer. Também tenho medo de morrer ...”. Aí, então, os dois conversarão longamente - como se estivessem de mãos dadas ... - sobre a morte que os dois haverão de enfrentar.
Com o sugeriu o apóstolo Paulo, a verdade está subordinada à bondade. Pela ética de princípios, o uso da camisinha, a pesquisa das células-tronco, o aborto de fetos sem cérebro, o divórcio, a eutanásia são questões resolvidas que não requerem decisões: os princípios universais os proíbem. Mas a ética contextual nos obriga a fazer perguntas sobre o bem ou o mal que uma ação irá criar. O uso da camisinha contribui para diminuir a incidência da Aids? As pesquisas com células-tronco contribuem para trazer a cura para uma infinidade de doenças? O aborto de um feto sem cérebro contribuirá para diminuir a dor de uma mulher? O divórcio contribuirá para que homens e mulheres possam recomeçar suas vidas afetivas? A eutanásia pode ser o único caminho para libertar uma pessoa da dor que não a deixará?
Duas éticas. A única pergunta a se fazer é: “Qual delas está mais a serviço do amor?”
Provas
Ética de princípios.
Rubem Alves
AS DUAS ÉTICAS: a ética que brota da contemplação das estrelas perfeitas, imutáveis e mortas, a que os filósofos dão o nome de ética de princípios, e a ética que brota da contemplação dos jardins imperfeitos e mutáveis, mas vivos - a que os filósofos dão o nome de ética contextual.
Os jardineiros não olham para as estrelas. Eles nada sabem sobre os estrelas que alguns dizem já ter visto por revelação dos deuses. Como os homens comuns não veem essas estrelas, eles têm de acreditar na palavra dos que dizem já as ter visto longe, muito longe ... Os jardineiros só acreditam no que os seus olhos veem. Pensam a partir da experiência: pegam a terra com as mãos e a cheiram...
Vou aplicar a metáfora a uma situação concreta. A mulher está com câncer em estado avançado. É certo que ela morrerá. Ela suspeita disso e tem medo. O médico vai visitá-la. Olhando, do fundo do seu medo, no fundo dos olhos do médico ela pergunta: “Doutor, será que eu escapo desta?”
Está configurada uma situação ética. Que é que o médico vai dizer? Se o médico for um adepto da ética estrelar de princípios, a resposta será simples. Ele não terá que decidir ou escolher. O princípio é claro: dizer a verdade sempre. A enferma perguntou. A resposta terá de ser a verdade. E ele, então, responderá: “Não, a senhora não escapará desta. A senhora vai morrer ...”. Respondeu segundo um princípio invariável para todas as situações.
A lealdade a um princípio o livra de um pensamento perturbador: o que a verdade irá fazer com o corpo e a alma daquela mulher? O princípio, sendo absoluto, não leva em consideração o potencial destruidor da verdade. Mas, se for um jardineiro, ele não se lembrará de nenhum princípio. Ele só pensará nos olhos suplicantes daquela mulher. Pensará que a sua palavra terá que produzir a bondade. E ele se perguntará: “Que palavra eu posso dizer que, não sendo um engano - 'A senhora breve estará curada ...' -, cuidará da mulher como se a palavra fosse um colo que acolhe uma criança?” E ele dirá: “Você me faz essa pergunta porque você está com medo de morrer. Também tenho medo de morrer ...”. Aí, então, os dois conversarão longamente - como se estivessem de mãos dadas ... - sobre a morte que os dois haverão de enfrentar.
Com o sugeriu o apóstolo Paulo, a verdade está subordinada à bondade. Pela ética de princípios, o uso da camisinha, a pesquisa das células-tronco, o aborto de fetos sem cérebro, o divórcio, a eutanásia são questões resolvidas que não requerem decisões: os princípios universais os proíbem. Mas a ética contextual nos obriga a fazer perguntas sobre o bem ou o mal que uma ação irá criar. O uso da camisinha contribui para diminuir a incidência da Aids? As pesquisas com células-tronco contribuem para trazer a cura para uma infinidade de doenças? O aborto de um feto sem cérebro contribuirá para diminuir a dor de uma mulher? O divórcio contribuirá para que homens e mulheres possam recomeçar suas vidas afetivas? A eutanásia pode ser o único caminho para libertar uma pessoa da dor que não a deixará?
Duas éticas. A única pergunta a se fazer é: “Qual delas está mais a serviço do amor?”
Provas
Ética de princípios.
Rubem Alves
AS DUAS ÉTICAS: a ética que brota da contemplação das estrelas perfeitas, imutáveis e mortas, a que os filósofos dão o nome de ética de princípios, e a ética que brota da contemplação dos jardins imperfeitos e mutáveis, mas vivos - a que os filósofos dão o nome de ética contextual.
Os jardineiros não olham para as estrelas. Eles nada sabem sobre os estrelas que alguns dizem já ter visto por revelação dos deuses. Como os homens comuns não veem essas estrelas, eles têm de acreditar na palavra dos que dizem já as ter visto longe, muito longe ... Os jardineiros só acreditam no que os seus olhos veem. Pensam a partir da experiência: pegam a terra com as mãos e a cheiram...
Vou aplicar a metáfora a uma situação concreta. A mulher está com câncer em estado avançado. É certo que ela morrerá. Ela suspeita disso e tem medo. O médico vai visitá-la. Olhando, do fundo do seu medo, no fundo dos olhos do médico ela pergunta: “Doutor, será que eu escapo desta?”
Está configurada uma situação ética. Que é que o médico vai dizer? Se o médico for um adepto da ética estrelar de princípios, a resposta será simples. Ele não terá que decidir ou escolher. O princípio é claro: dizer a verdade sempre. A enferma perguntou. A resposta terá de ser a verdade. E ele, então, responderá: “Não, a senhora não escapará desta. A senhora vai morrer ...”. Respondeu segundo um princípio invariável para todas as situações.
A lealdade a um princípio o livra de um pensamento perturbador: o que a verdade irá fazer com o corpo e a alma daquela mulher? O princípio, sendo absoluto, não leva em consideração o potencial destruidor da verdade. Mas, se for um jardineiro, ele não se lembrará de nenhum princípio. Ele só pensará nos olhos suplicantes daquela mulher. Pensará que a sua palavra terá que produzir a bondade. E ele se perguntará: “Que palavra eu posso dizer que, não sendo um engano - 'A senhora breve estará curada ...' -, cuidará da mulher como se a palavra fosse um colo que acolhe uma criança?” E ele dirá: “Você me faz essa pergunta porque você está com medo de morrer. Também tenho medo de morrer ...”. Aí, então, os dois conversarão longamente - como se estivessem de mãos dadas ... - sobre a morte que os dois haverão de enfrentar.
Com o sugeriu o apóstolo Paulo, a verdade está subordinada à bondade. Pela ética de princípios, o uso da camisinha, a pesquisa das células-tronco, o aborto de fetos sem cérebro, o divórcio, a eutanásia são questões resolvidas que não requerem decisões: os princípios universais os proíbem. Mas a ética contextual nos obriga a fazer perguntas sobre o bem ou o mal que uma ação irá criar. O uso da camisinha contribui para diminuir a incidência da Aids? As pesquisas com células-tronco contribuem para trazer a cura para uma infinidade de doenças? O aborto de um feto sem cérebro contribuirá para diminuir a dor de uma mulher? O divórcio contribuirá para que homens e mulheres possam recomeçar suas vidas afetivas? A eutanásia pode ser o único caminho para libertar uma pessoa da dor que não a deixará?
Duas éticas. A única pergunta a se fazer é: “Qual delas está mais a serviço do amor?”
Provas
Ética de princípios.
Rubem Alves
AS DUAS ÉTICAS: a ética que brota da contemplação das estrelas perfeitas, imutáveis e mortas, a que os filósofos dão o nome de ética de princípios, e a ética que brota da contemplação dos jardins imperfeitos e mutáveis, mas vivos - a que os filósofos dão o nome de ética contextual.
Os jardineiros não olham para as estrelas. Eles nada sabem sobre os estrelas que alguns dizem já ter visto por revelação dos deuses. Como os homens comuns não veem essas estrelas, eles têm de acreditar na palavra dos que dizem já as ter visto longe, muito longe ... Os jardineiros só acreditam no que os seus olhos veem. Pensam a partir da experiência: pegam a terra com as mãos e a cheiram...
Vou aplicar a metáfora a uma situação concreta. A mulher está com câncer em estado avançado. É certo que ela morrerá. Ela suspeita disso e tem medo. O médico vai visitá-la. Olhando, do fundo do seu medo, no fundo dos olhos do médico ela pergunta: “Doutor, será que eu escapo desta?”
Está configurada uma situação ética. Que é que o médico vai dizer? Se o médico for um adepto da ética estrelar de princípios, a resposta será simples. Ele não terá que decidir ou escolher. O princípio é claro: dizer a verdade sempre. A enferma perguntou. A resposta terá de ser a verdade. E ele, então, responderá: “Não, a senhora não escapará desta. A senhora vai morrer ...”. Respondeu segundo um princípio invariável para todas as situações.
A lealdade a um princípio o livra de um pensamento perturbador: o que a verdade irá fazer com o corpo e a alma daquela mulher? O princípio, sendo absoluto, não leva em consideração o potencial destruidor da verdade. Mas, se for um jardineiro, ele não se lembrará de nenhum princípio. Ele só pensará nos olhos suplicantes daquela mulher. Pensará que a sua palavra terá que produzir a bondade. E ele se perguntará: “Que palavra eu posso dizer que, não sendo um engano - 'A senhora breve estará curada ...' -, cuidará da mulher como se a palavra fosse um colo que acolhe uma criança?” E ele dirá: “Você me faz essa pergunta porque você está com medo de morrer. Também tenho medo de morrer ...”. Aí, então, os dois conversarão longamente - como se estivessem de mãos dadas ... - sobre a morte que os dois haverão de enfrentar.
Com o sugeriu o apóstolo Paulo, a verdade está subordinada à bondade. Pela ética de princípios, o uso da camisinha, a pesquisa das células-tronco, o aborto de fetos sem cérebro, o divórcio, a eutanásia são questões resolvidas que não requerem decisões: os princípios universais os proíbem. Mas a ética contextual nos obriga a fazer perguntas sobre o bem ou o mal que uma ação irá criar. O uso da camisinha contribui para diminuir a incidência da Aids? As pesquisas com células-tronco contribuem para trazer a cura para uma infinidade de doenças? O aborto de um feto sem cérebro contribuirá para diminuir a dor de uma mulher? O divórcio contribuirá para que homens e mulheres possam recomeçar suas vidas afetivas? A eutanásia pode ser o único caminho para libertar uma pessoa da dor que não a deixará?
Duas éticas. A única pergunta a se fazer é: “Qual delas está mais a serviço do amor?”
Provas
Ética de princípios.
Rubem Alves
AS DUAS ÉTICAS: a ética que brota da contemplação das estrelas perfeitas, imutáveis e mortas, a que os filósofos dão o nome de ética de princípios, e a ética que brota da contemplação dos jardins imperfeitos e mutáveis, mas vivos - a que os filósofos dão o nome de ética contextual.
Os jardineiros não olham para as estrelas. Eles nada sabem sobre os estrelas que alguns dizem já ter visto por revelação dos deuses. Como os homens comuns não veem essas estrelas, eles têm de acreditar na palavra dos que dizem já as ter visto longe, muito longe ... Os jardineiros só acreditam no que os seus olhos veem. Pensam a partir da experiência: pegam a terra com as mãos e a cheiram...
Vou aplicar a metáfora a uma situação concreta. A mulher está com câncer em estado avançado. É certo que ela morrerá. Ela suspeita disso e tem medo. O médico vai visitá-la. Olhando, do fundo do seu medo, no fundo dos olhos do médico ela pergunta: “Doutor, será que eu escapo desta?”
Está configurada uma situação ética. Que é que o médico vai dizer? Se o médico for um adepto da ética estrelar de princípios, a resposta será simples. Ele não terá que decidir ou escolher. O princípio é claro: dizer a verdade sempre. A enferma perguntou. A resposta terá de ser a verdade. E ele, então, responderá: “Não, a senhora não escapará desta. A senhora vai morrer ...”. Respondeu segundo um princípio invariável para todas as situações.
A lealdade a um princípio o livra de um pensamento perturbador: o que a verdade irá fazer com o corpo e a alma daquela mulher? O princípio, sendo absoluto, não leva em consideração o potencial destruidor da verdade. Mas, se for um jardineiro, ele não se lembrará de nenhum princípio. Ele só pensará nos olhos suplicantes daquela mulher. Pensará que a sua palavra terá que produzir a bondade. E ele se perguntará: “Que palavra eu posso dizer que, não sendo um engano - 'A senhora breve estará curada ...' -, cuidará da mulher como se a palavra fosse um colo que acolhe uma criança?” E ele dirá: “Você me faz essa pergunta porque você está com medo de morrer. Também tenho medo de morrer ...”. Aí, então, os dois conversarão longamente - como se estivessem de mãos dadas ... - sobre a morte que os dois haverão de enfrentar.
Com o sugeriu o apóstolo Paulo, a verdade está subordinada à bondade. Pela ética de princípios, o uso da camisinha, a pesquisa das células-tronco, o aborto de fetos sem cérebro, o divórcio, a eutanásia são questões resolvidas que não requerem decisões: os princípios universais os proíbem. Mas a ética contextual nos obriga a fazer perguntas sobre o bem ou o mal que uma ação irá criar. O uso da camisinha contribui para diminuir a incidência da Aids? As pesquisas com células-tronco contribuem para trazer a cura para uma infinidade de doenças? O aborto de um feto sem cérebro contribuirá para diminuir a dor de uma mulher? O divórcio contribuirá para que homens e mulheres possam recomeçar suas vidas afetivas? A eutanásia pode ser o único caminho para libertar uma pessoa da dor que não a deixará?
Duas éticas. A única pergunta a se fazer é: “Qual delas está mais a serviço do amor?”
Provas
Caderno Container