Foram encontradas 750 questões.
Texto 11A1AAA
Se x ≥ 0 representa a quantidade de quilômetros percorridos por um veículo em determinado dia, então:
• ƒ(x) = x/12 representa a quantidade de litros de combustível consumido pelo veículo para percorrer x quilômetros;
• g(x) = 60 - x/12 representa a quantidade de litros de combustível que restam no tanque do veículo depois de percorridos x quilômetros.
Considerando que f(x) e g(x) sejam as funções definidas no texto
11A1AAA, assinale a opção correta a respeito do sinal da função
que está definida para todo x do intervalo (0, 720),
em que ln[x] é o logaritmo natural de x.
Provas
Texto 11A1AAA
Se x ≥ 0 representa a quantidade de quilômetros percorridos por um veículo em determinado dia, então:
- \(ƒ(x) = \dfrac{x}{12}\) representa a quantidade de litros de combustível consumido pelo veículo para percorrer x quilômetros;
- \(g(x) = 60 -\dfrac{x}{12}\) representa a quantidade de litros de combustível que restam no tanque do veículo depois de percorridos x quilômetros.
Se f(x) e g(x) são as funções definidas no texto 11A1AAA, e se \(h(x) = \dfrac{f(x)}{g(x)}\) , então a função inversa \(h^{-1}(x) \) pode ser expressa por
Provas
As figuras I e II a seguir ilustram recipientes cilíndricos retos, idênticos, que contêm suco. Em cada recipiente foram feitas marcações igualmente espaçadas, mas diferentes nos recipientes I e II. Há mais suco no recipiente I que no II.

Nessa situação, a fração do volume que o recipiente I tem a mais que o II é igual a
Provas
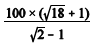
O número
é
Provas
Texto 11A3AAA
Considere os números complexos z = 1 + 5i e w = 5 + i e suas representações geométricas em um sistema de coordenadas cartesianas ortogonais xOy.
Provas
Um sistema linear de 4 equações e 4 incógnitas pode ser escrito na forma matricial como AX = B, em que A é a matriz, de ordem 4 × 4, dos coeficientes da equação; X é a matriz coluna, de ordem 4 × 1, das incógnitas da equação e B é a matriz coluna, de ordem 4 × 1, dos termos independentes da equação.
Com referência a essas informações, assinale a opção correta.
Provas
Texto 11A2AAA
Um ponto turístico interessante da cidade de São Luís é o Beco Catarina Mina, com sua escadaria de 35 degraus em pedra de lioz, datada do século XVIII. A figura a seguir mostra uma representação dessa escadaria, em que cada degrau possui base bj e altura aj , com j = 1, 2, ..., 35.

Provas
Texto 11A2CCC
A tabela a seguir apresenta uma comparação entre a evolução populacional ocorrida na cidade de São Luís, no estado do Maranhão e no Brasil, a cada cinco anos, de 1985 a 2010.

IBGE (com adaptações).
Provas
- SemânticaSinônimos e Antônimos
- Interpretação de TextosCoesão e Coerência
- Interpretação de TextosSubstituição/Reescritura de Texto

Provas
Texto 10A3BBB
Livre
Livre! Ser livre da matéria escrava,
arrancar os grilhões que nos flagelam
e livre penetrar nos Dons que selam
a alma e lhe emprestam toda a etérea lava.
Livre da humana, da terrestre bava
dos corações daninhos que regelam,
quando os nossos sentidos se rebelam
contra a Infâmia bifronte que deprava.
Livre! Bem livre para andar mais puro,
mais junto à Natureza e mais seguro
do seu Amor, de todas as justiças.
Livre! Para sentir a Natureza,
para gozar, na universal Grandeza,
Fecundas e arcangélicas preguiças.
Cruz e Souza. Obra completa. V.1, Ed. Avenida, 2008, p. 529.
Provas
Caderno Container