Foram encontradas 773 questões.
561165
Ano: 2019
Disciplina: Fisioterapia
Banca: CETREDE
Orgão: Pref. São Gonçalo Amarante-CE
Disciplina: Fisioterapia
Banca: CETREDE
Orgão: Pref. São Gonçalo Amarante-CE
Provas:
Nossos ossos são estruturas formadas por tecido ósseo,
onde se encontram o cálcio, fibras de colágeno e
proteoglicanas. Esses se unem a outros por articulações
para formarem o esqueleto do corpo. A falta de cálcio,
nutrientes, fibras e outros elementos pode causar algumas
doenças que afetem os ossos, causando problemas em
articulações e na mobilidade. Leia com atenção as
afirmativas a seguir e marque (V) para as afirmativas
VERDADEIRAS e (F) para as FALSAS.
( ) A diminuição da massa óssea pode causar a osteopenia e, se não for tratada rapidamente, pode evoluir para a osteoporose. Essa condição não apresenta dor nem sintomas, por isso o perigo constante. Suas causas possuem o contrário da osteoporose, como a alta exposição ao sol e a idade avançada.
( ) A doença de Paget do osso é um transtorno crônico do esqueleto em que áreas de osso são submetidas à rotatividade anormal, resultando em áreas de osso expandido e amolecido.
( ) Osteogênese imperfeita (ossos de vidro, doença de Lobstein ou doença de Ekman Lobstein) é uma condição rara que tem como principal característica a fragilidade dos ossos, que quebram com enorme facilidade.
( ) A osteoporose é uma condição de enfraquecimento dos ossos causada por problemas na produção de hormônios, baixa exposição à luz solar, sedentarismo, tabagismo, alcoolismo, doenças reumatológicas e até histórico familiar. O enfraquecimento dá-se pela falta de complexos minerais nos ossos.
Marque a opção que apresenta a sequência CORRETA.
( ) A diminuição da massa óssea pode causar a osteopenia e, se não for tratada rapidamente, pode evoluir para a osteoporose. Essa condição não apresenta dor nem sintomas, por isso o perigo constante. Suas causas possuem o contrário da osteoporose, como a alta exposição ao sol e a idade avançada.
( ) A doença de Paget do osso é um transtorno crônico do esqueleto em que áreas de osso são submetidas à rotatividade anormal, resultando em áreas de osso expandido e amolecido.
( ) Osteogênese imperfeita (ossos de vidro, doença de Lobstein ou doença de Ekman Lobstein) é uma condição rara que tem como principal característica a fragilidade dos ossos, que quebram com enorme facilidade.
( ) A osteoporose é uma condição de enfraquecimento dos ossos causada por problemas na produção de hormônios, baixa exposição à luz solar, sedentarismo, tabagismo, alcoolismo, doenças reumatológicas e até histórico familiar. O enfraquecimento dá-se pela falta de complexos minerais nos ossos.
Marque a opção que apresenta a sequência CORRETA.
Provas
Questão presente nas seguintes provas
O aumento de ácido ascórbico, após ingestão de
vitamina C, interfere, in vitro, provocando diminuição na
determinação de
Provas
Questão presente nas seguintes provas
Na pancreatite crônica, quais enzimas estão
aumentadas?
Provas
Questão presente nas seguintes provas
561117
Ano: 2019
Disciplina: Engenharia Elétrica
Banca: CETREDE
Orgão: Pref. São Gonçalo Amarante-CE
Disciplina: Engenharia Elétrica
Banca: CETREDE
Orgão: Pref. São Gonçalo Amarante-CE
Provas:
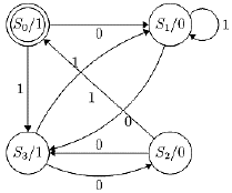
Analise a máquina de estados representada pela figura
a seguir.

Escolha a alternativa que indica, respectivamente, se ela é do tipo Mealy ou Moore, qual o estado e o valor da saída após receber a sequência de valores binários 100101110010.

Escolha a alternativa que indica, respectivamente, se ela é do tipo Mealy ou Moore, qual o estado e o valor da saída após receber a sequência de valores binários 100101110010.
Provas
Questão presente nas seguintes provas
561113
Ano: 2019
Disciplina: Engenharia Elétrica
Banca: CETREDE
Orgão: Pref. São Gonçalo Amarante-CE
Disciplina: Engenharia Elétrica
Banca: CETREDE
Orgão: Pref. São Gonçalo Amarante-CE
Provas:
Considere que você possui um medidor de resistividade
de solo que está equipado com 4 hastes e que você fará uso
do método de Wenner para essa medição. O espaçamento
utilizado foi de 10m entre as hastes e cada haste está fincada
com 3m de profundidade. O medidor indicou 150Ω então, a
resistividade do solo é de, aproximadamente,
Provas
Questão presente nas seguintes provas
561112
Ano: 2019
Disciplina: Engenharia Elétrica
Banca: CETREDE
Orgão: Pref. São Gonçalo Amarante-CE
Disciplina: Engenharia Elétrica
Banca: CETREDE
Orgão: Pref. São Gonçalo Amarante-CE
Provas:
Um circuito foi projetado utilizando-se de cabos
condutores isolados de PVC em que a seção do condutor é
de 16mm². O tempo máximo de curto-circuito para o projeto
de proteção desse circuito que possui ICC = 1500 A e k = 115
(cabo isolado PVC) é de, aproximadamente,
Provas
Questão presente nas seguintes provas
561111
Ano: 2019
Disciplina: Engenharia Elétrica
Banca: CETREDE
Orgão: Pref. São Gonçalo Amarante-CE
Disciplina: Engenharia Elétrica
Banca: CETREDE
Orgão: Pref. São Gonçalo Amarante-CE
Provas:
Suponha um motor de Corrente Contínua energizado
em operação e que foi solicitado pelo operador que seja
realizada a frenagem desse motor, qual dos métodos abaixo
é um método válido para realizar o solicitado?
Provas
Questão presente nas seguintes provas
561095
Ano: 2019
Disciplina: Engenharia Civil
Banca: CETREDE
Orgão: Pref. São Gonçalo Amarante-CE
Disciplina: Engenharia Civil
Banca: CETREDE
Orgão: Pref. São Gonçalo Amarante-CE
Provas:
Em uma determinada obra, verificou-se que, faltando
apenas 24h do início programado para os trabalhos, seria
necessário escavar 3,00 ha (três hectares) de terreno com
profundidade de 120 cm (cento e vinte centímetros).
Sabendo-se que o ciclo regular de trabalho de um caminhão
caçamba de 7,5 m3
(sete e meio metros cúbicos) de
capacidade é de 45 min (quarenta e cinco minutos), calcule o
mínimo de caminhões necessários para executar o serviço
antes do início da obra. Sabe-se ainda que o empolamento
do terreno é de 30 % (trinta por cento).
Provas
Questão presente nas seguintes provas
561024
Ano: 2019
Disciplina: Biblioteconomia
Banca: CETREDE
Orgão: Pref. São Gonçalo Amarante-CE
Disciplina: Biblioteconomia
Banca: CETREDE
Orgão: Pref. São Gonçalo Amarante-CE
Provas:
São atribuições do profissional que exerce a profissão de
bibliotecário a organização, a direção e a execução dos
serviços técnicos de repartições públicas federais,
estaduais, municipais e autárquicas e empresas particulares
concernentes às matérias e às atividades a seguir. Assinale
a opção CORRETA.
Provas
Questão presente nas seguintes provas
As questões relacionadas ao município de São Gonçalo do
Amarante têm por base o Anuário do Ceará (2019 – 2020) e o
Instituto de Pesquisa e Estratégia Econômica do Ceará –
IPECE.
Analise as afirmativas a seguir sobre o Município de São Gonçalo do Amarante e marque (V) para as VERDADEIRAS e (F) para as FALSAS.
( ) As principais vias de acesso aos municípios são: BR-222 e CE 085.
( ) Possui uma área de aproximadamente 834,4 km².
( ) Seu relevo é composto por planície litorânea, planície ribeirinha, sertões e tabuleiros costeiros.
( ) Possui Unidades de Conservação Estadual: a APA das Dunas do Litoral Oeste e a Estação Ecológica do Pecém.
Marque a opção que apresenta a sequência CORRETA.
Provas
Questão presente nas seguintes provas
Cadernos
Caderno Container