Foram encontradas 380 questões.
916914
Ano: 2018
Disciplina: Engenharia Civil
Banca: VUNESP
Orgão: Pref. São Bernardo do Campo-SP
Disciplina: Engenharia Civil
Banca: VUNESP
Orgão: Pref. São Bernardo do Campo-SP
Provas:
Ao se optar pela produção de concreto de cimento
Portland no canteiro de obras, o cimento, quando adquirido em sacos, deve ser guardado em pilhas, em local
fechado, protegido da ação de chuva, névoa ou condensação. As pilhas devem estar separadas por corredores
que permitam o acesso, e os sacos devem ficar apoiados
sobre estrado ou paletes de madeira, para evitar o contato direto com o piso. Se os sacos de cimento ficarem
retidos por um período superior a 15 dias, devem ser empilhados em altura de, no máximo,
Provas
Questão presente nas seguintes provas
916913
Ano: 2018
Disciplina: Engenharia Civil
Banca: VUNESP
Orgão: Pref. São Bernardo do Campo-SP
Disciplina: Engenharia Civil
Banca: VUNESP
Orgão: Pref. São Bernardo do Campo-SP
Provas:
- Gerenciamento, Planejamento e Controle de Obras
- Orçamento no Planejamento e Controle de Obras na Engenharia Civil
Considere a composição de custos unitários utilizada
para orçar a execução de alvenaria de tijolo laminado à
vista, com espessura de 1/4 de tijolo.
Se for utilizado outro tipo de tijolo laminado de melhor
qualidade ao custo unitário de R$ 1,50, o custo do metro
quadrado desse serviço aumentará em
Se for utilizado outro tipo de tijolo laminado de melhor
qualidade ao custo unitário de R$ 1,50, o custo do metro
quadrado desse serviço aumentará emProvas
Questão presente nas seguintes provas
916912
Ano: 2018
Disciplina: Engenharia Civil
Banca: VUNESP
Orgão: Pref. São Bernardo do Campo-SP
Disciplina: Engenharia Civil
Banca: VUNESP
Orgão: Pref. São Bernardo do Campo-SP
Provas:
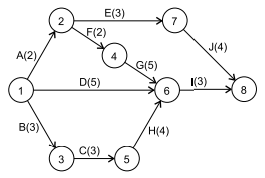
Um engenheiro planejou a obra de reforma de uma residência conforme o cronograma PERT-CPM da figura
a seguir, no qual as atividades estão representadas por
letras, seguidas de suas durações em dias.
Ao apresentar o orçamento e o planejamento da obra ao cliente, o engenheiro informou que o prazo para concluí-la, em dias, é
Ao apresentar o orçamento e o planejamento da obra ao cliente, o engenheiro informou que o prazo para concluí-la, em dias, é
Provas
Questão presente nas seguintes provas
916911
Ano: 2018
Disciplina: Engenharia Civil
Banca: VUNESP
Orgão: Pref. São Bernardo do Campo-SP
Disciplina: Engenharia Civil
Banca: VUNESP
Orgão: Pref. São Bernardo do Campo-SP
Provas:
Considere o levantamento topográfico planimétrico de
um terreno ilustrado a seguir.
O rumo da linha 3-4 é
O rumo da linha 3-4 éProvas
Questão presente nas seguintes provas
916910
Ano: 2018
Disciplina: Engenharia Civil
Banca: VUNESP
Orgão: Pref. São Bernardo do Campo-SP
Disciplina: Engenharia Civil
Banca: VUNESP
Orgão: Pref. São Bernardo do Campo-SP
Provas:
No projeto de esgotamento sanitário da rede de esgoto
de uma residência, previram-se os seguintes aparelhos
sanitários com suas respectivas Unidades de Hunter de
Contribuição – UHC, apresentadas na tabela a seguir.
O diâmetro nominal mínimo do ramal de esgoto que deve escoar os efluentes dos aparelhos sanitários da residência é
O diâmetro nominal mínimo do ramal de esgoto que deve escoar os efluentes dos aparelhos sanitários da residência é
Provas
Questão presente nas seguintes provas
916909
Ano: 2018
Disciplina: Engenharia Civil
Banca: VUNESP
Orgão: Pref. São Bernardo do Campo-SP
Disciplina: Engenharia Civil
Banca: VUNESP
Orgão: Pref. São Bernardo do Campo-SP
Provas:
Para o projeto das instalações prediais de água fria de
uma edificação, foram previstas as seguintes peças usuais de utilização seguidas de seus pesos relativos, conforme a tabela a seguir.

Pelo método da estimativa das vazões, a vazão estimada de água, em litros por segundo, na seção da tubulação que alimenta simultaneamente todas as peças de utilização da residência, é

Pelo método da estimativa das vazões, a vazão estimada de água, em litros por segundo, na seção da tubulação que alimenta simultaneamente todas as peças de utilização da residência, é
Provas
Questão presente nas seguintes provas
916908
Ano: 2018
Disciplina: Engenharia Civil
Banca: VUNESP
Orgão: Pref. São Bernardo do Campo-SP
Disciplina: Engenharia Civil
Banca: VUNESP
Orgão: Pref. São Bernardo do Campo-SP
Provas:
Considere a treliça metálica do projeto da construção de um galpão, ilustrada na figura a seguir.

As barras AB e AC estão solicitadas, respectivamente, pelas forças normais, em módulo e em kN, de
Provas
Questão presente nas seguintes provas
916907
Ano: 2018
Disciplina: Engenharia Civil
Banca: VUNESP
Orgão: Pref. São Bernardo do Campo-SP
Disciplina: Engenharia Civil
Banca: VUNESP
Orgão: Pref. São Bernardo do Campo-SP
Provas:
Considere a viga simplesmente apoiada com vão de 8 m
e seção transversal retangular, representada na figura a
seguir.
A tensão normal máxima, devido à flexão na fibra mais
tracionada da viga, em MPa, é
A tensão normal máxima, devido à flexão na fibra mais
tracionada da viga, em MPa, éProvas
Questão presente nas seguintes provas
916906
Ano: 2018
Disciplina: Engenharia Civil
Banca: VUNESP
Orgão: Pref. São Bernardo do Campo-SP
Disciplina: Engenharia Civil
Banca: VUNESP
Orgão: Pref. São Bernardo do Campo-SP
Provas:
Na fase de estudos preliminares ou de planejamento de um edifício com área de projeção em planta de
2000 m²
, que deve ser construído em um terreno com
área de 4000 m², deve-se prever uma programação de
sondagens de simples reconhecimento para fundações,
cujo número mínimo de furos é
Provas
Questão presente nas seguintes provas
916905
Ano: 2018
Disciplina: Engenharia Civil
Banca: VUNESP
Orgão: Pref. São Bernardo do Campo-SP
Disciplina: Engenharia Civil
Banca: VUNESP
Orgão: Pref. São Bernardo do Campo-SP
Provas:
- Gerenciamento, Planejamento e Controle de Obras
- Orçamento no Planejamento e Controle de Obras na Engenharia Civil
Para a construção de uma residência com área de
200 m² , um engenheiro apresentou um orçamento no
qual constava o custo dos materiais de R$ 336.000,00,
o custo da mão de obra de R$ 179.200,00 e os encargos
sociais sobre a mão de obra de 125%. Se, para cobrir
os custos indiretos e o lucro, o engenheiro apresentar a
taxa de BDI de 25%, o preço do metro quadrado dessa
residência é
Provas
Questão presente nas seguintes provas
Cadernos
Caderno Container