Magna Concursos

Foram encontradas 390 questões.

4063996 Ano: 2026
Disciplina: Estatística
Banca: Avança SP
Orgão: Pref. Santo Antônio Posse-SP
Kelly estava ministrando a sua aula de Estatística sobre o assunto de média aritmética, e questionou os alunos sobre qual seria a média aritmética dos números racionais:

Enunciado 4555556-1

Assinale a alternativa que indica a média dos números acima.
 

Provas

Questão presente nas seguintes provas
4063995 Ano: 2026
Disciplina: Matemática
Banca: Avança SP
Orgão: Pref. Santo Antônio Posse-SP
Durante uma atividade de revisão sobre notação científica, o professor Renato pediu aos alunos que convertessem determinados valores para uma escala reduzida. Para isso, ele explicou que deveriam multiplicar cada número por 0,00001, que corresponde a 10−5 .

Em seguida, ele perguntou:

“Qual é o resultado ao multiplicar o número 563287 por 0,00001?”

Assinale a alternativa correta.
 

Provas

Questão presente nas seguintes provas
4063994 Ano: 2026
Disciplina: Matemática
Banca: Avança SP
Orgão: Pref. Santo Antônio Posse-SP
Bernardo estava analisando um relatório de consumo dos clientes do produto A em sua padaria. Ele verificou que 165 clientes consumiram esse produto nesta semana, sendo que na segunda-feira 45 clientes compraram o produto, na terça-feira foram 20 clientes, na quarta-feira foram 50 clientes, na quinta-feira foram 38 clientes e na sexta-feira foram 12 clientes. Assim, qual foi a média aritmética simples de clientes do produto A, considerando os dois dias de maior consumo deste?

Assinale a alternativa correta.
 

Provas

Questão presente nas seguintes provas
4063993 Ano: 2026
Disciplina: Matemática
Banca: Avança SP
Orgão: Pref. Santo Antônio Posse-SP
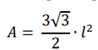
Durante uma aula de Geometria, o professor Nilmar revisava com os alunos as fórmulas de áreas de polígonos regulares. Ao chegar no hexágono regular, ele lembrou a turma de que sua área pode ser calculada pela expressão:

Enunciado 4555553-1

onde l representa a medida do lado do hexágono.

Em seguida, ele apresentou um hexágono regular desenhado no quadro, cujo lado media 8 cm, e perguntou aos alunos:

“Utilizando a fórmula da área do hexágono regular, qual é a área total desse hexágono?”

Assinale a alternativa correta.
 

Provas

Questão presente nas seguintes provas
4063992 Ano: 2026
Disciplina: Matemática
Banca: Avança SP
Orgão: Pref. Santo Antônio Posse-SP
Para preparar 8 porções de doce de abóbora, uma receita utiliza 1 kg de abóbora cozida, sem casca e cortada em pedaços médios, além de 2 xícaras (chá) de açúcar. Certo dia, o cozinheiro decidiu preparar 15 porções, mantendo exatamente as mesmas proporções da receita original. Quais devem ser as quantidades de abóbora cozida e de açúcar necessárias para produzir as 15 porções?

Assinale a alternativa correta.
 

Provas

Questão presente nas seguintes provas
4063991 Ano: 2026
Disciplina: Matemática
Banca: Avança SP
Orgão: Pref. Santo Antônio Posse-SP
Pedro perguntou ao seu pai, Thiago, qual seria o valor total com 20% de aumento sobre o valor da sua mesada de R$ 80,00. Assinale a alternativa correta sobre o que Thiago respondeu ao seu filho.
 

Provas

Questão presente nas seguintes provas
4063990 Ano: 2026
Disciplina: Matemática
Banca: Avança SP
Orgão: Pref. Santo Antônio Posse-SP
Durante uma feira de moda, Vitória observou que o número de visitantes aumentou significativamente em relação ao ano anterior. No ano passado, o evento recebeu 6 mil pessoas. Neste ano, o público foi de 16 mil visitantes.

Portanto, a razão entre o número de visitantes deste ano e o do ano passado é de _________. Assinale a alternativa que completa a lacuna corretamente, de acordo com a razão citada acima.
 

Provas

Questão presente nas seguintes provas
4063989 Ano: 2026
Disciplina: Matemática
Banca: Avança SP
Orgão: Pref. Santo Antônio Posse-SP
Considere os números 121 e 1331. Assinale a alternativa que apresenta corretamente o Mínimo Múltiplo Comum (MMC) desses dois números:
 

Provas

Questão presente nas seguintes provas
4063988 Ano: 2026
Disciplina: Matemática
Banca: Avança SP
Orgão: Pref. Santo Antônio Posse-SP
Durante um período de forte inflação no país Alfa, o preço do litro do óleo de cozinha aumentou de R$ 6,40 para R$ 7,68. Com base nesses valores, qual foi a porcentagem de aumento no preço do produto?

Assinale a alternativa correta.
 

Provas

Questão presente nas seguintes provas
4063987 Ano: 2026
Disciplina: Matemática
Banca: Avança SP
Orgão: Pref. Santo Antônio Posse-SP
O padeiro Manoel estava preparando uma fornada de pães e desta vez ele precisou aumentar a receita para o dobro da quantidade. Então, como ele utilizava 20 kg de farinha de trigo e 0,4 kg de fermento para pão, quais serão as novas quantidades de farinha de trigo e de fermento para pão, respectivamente?

Assinale a alternativa correta.
 

Provas

Questão presente nas seguintes provas