Magna Concursos

Foram encontradas 242 questões.

3878596 Ano: 2025
Disciplina: Raciocínio Lógico
Banca: MS CONCURSOS
Orgão: Pref. Santana Parnaíba-SP
Provas:
Os números triangulares são números inteiros representados por determinadas por pontos arranjados na forma de triângulos equiláteros. Os cinco primeiros números triangulares são mostrados a seguir.

Enunciado 4813806-1

Completando a tabela e observando o padrão da coluna "Número triangular", indique a alternativa com o valor do sétimo número triangular.

Enunciado 4813806-2
 

Provas

Questão presente nas seguintes provas
3878595 Ano: 2025
Disciplina: Matemática
Banca: MS CONCURSOS
Orgão: Pref. Santana Parnaíba-SP
Provas:
Para comprar 3 latinhas de refrigerante, são necessárias 27 moedas de 50 centavos. Quantas moedas de 50 centavos serão necessárias para comprar 5 latinhas do mesmo refrigerante?
 

Provas

Questão presente nas seguintes provas
3878594 Ano: 2025
Disciplina: Matemática
Banca: MS CONCURSOS
Orgão: Pref. Santana Parnaíba-SP
Provas:
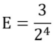
Considere o número racional E expresso na forma fracionária.
Enunciado 4813804-1

A representação decimal do número E está corretamente indicada na alternativa:
 

Provas

Questão presente nas seguintes provas
3878593 Ano: 2025
Disciplina: Matemática
Banca: MS CONCURSOS
Orgão: Pref. Santana Parnaíba-SP
Provas:
Celeste trabalha com dobraduras de papel (origamis), e pretende utilizar papéis quadrados de 13/5 de polegadas de lado. Ela consulta uma régua com frações polegadas, e encontra a seguinte tabela de conversão de frações de polegadas (pol.) para milímetros (mm):

1/2 pol. = 12,700 mm
1/4 pol. = 6,350 mm
3/4 pol. = 19,050 mm
1/8 pol. = 3,175 mm

Para construir um quadrado de papel de 13/5 de polegadas (13/5 pol.), Celeste deve converter este valor em milímetros (mm), em seguida obter a medida em centímetros (cm). A partir dos dados apresentados, é correto afirmar que 13/5 de polegadas equivale aproximadamente:
 

Provas

Questão presente nas seguintes provas
3878592 Ano: 2025
Disciplina: Português
Banca: MS CONCURSOS
Orgão: Pref. Santana Parnaíba-SP
Provas:
Referindo-se ao uso ou não do sinal grave indicativo de crase, identifique a alternativa indevida.
 

Provas

Questão presente nas seguintes provas
3878591 Ano: 2025
Disciplina: Português
Banca: MS CONCURSOS
Orgão: Pref. Santana Parnaíba-SP
Provas:
Aludindo-se à concordância verbal, marque a alternativa incorreta.
 

Provas

Questão presente nas seguintes provas
3878590 Ano: 2025
Disciplina: Português
Banca: MS CONCURSOS
Orgão: Pref. Santana Parnaíba-SP
Provas:
Indique a alternativa em que todas as palavras são acentuadas graficamente, segundo a mesma regra.
 

Provas

Questão presente nas seguintes provas
3878589 Ano: 2025
Disciplina: Português
Banca: MS CONCURSOS
Orgão: Pref. Santana Parnaíba-SP
Provas:
Referindo-se à acentuação tônica, assinale a alternativa onde as palavras são paroxítonas.
 

Provas

Questão presente nas seguintes provas
3878588 Ano: 2025
Disciplina: Português
Banca: MS CONCURSOS
Orgão: Pref. Santana Parnaíba-SP
Provas:
Leia o texto para responder à próxima questão.
Meu Coração. (J.G. de Araújo Jorge).
Eu tenho um coração um século atrasado,
ainda vive a sonhar... ainda sonha, a sofrer...
acredita que o mundo é um castelo encantado
e, criança, vive a rir, batendo de prazer...
Eu tenho um coração - um mísero coitado
que um dia há de por fim, o mundo compreender...
- é um poeta, um sonhador, um pobre esperançado
que habita no meu peito e enche de sons meu ser...
Quando tudo é matéria e é sombra - ele é uma luz,
ainda crê na ilusão, no amor, na fantasia
sabe todos de cor os versos que compus...
Deus pôs-me um coração com certeza enganado:
- e é por isso talvez, que ainda faço poesia
lembrando um sonhador do século passado.
De acordo com o texto, pode-se compreender que a expressão “mísero” significa:
 

Provas

Questão presente nas seguintes provas
3878587 Ano: 2025
Disciplina: Português
Banca: MS CONCURSOS
Orgão: Pref. Santana Parnaíba-SP
Provas:
Leia o texto para responder à próxima questão.
Meu Coração. (J.G. de Araújo Jorge).
Eu tenho um coração um século atrasado,
ainda vive a sonhar... ainda sonha, a sofrer...
acredita que o mundo é um castelo encantado
e, criança, vive a rir, batendo de prazer...
Eu tenho um coração - um mísero coitado
que um dia há de por fim, o mundo compreender...
- é um poeta, um sonhador, um pobre esperançado
que habita no meu peito e enche de sons meu ser...
Quando tudo é matéria e é sombra - ele é uma luz,
ainda crê na ilusão, no amor, na fantasia
sabe todos de cor os versos que compus...
Deus pôs-me um coração com certeza enganado:
- e é por isso talvez, que ainda faço poesia
lembrando um sonhador do século passado.
Marque a alternativa devida, de acordo com a correta separação de sílabas, das palavras do texto, (dia, matéria, poesia).
 

Provas

Questão presente nas seguintes provas