Foram encontradas 209 questões.
3017535
Ano: 2023
Disciplina: Matemática
Banca: Fênix
Orgão: Pref. Presidente Castello Branco-SC
Disciplina: Matemática
Banca: Fênix
Orgão: Pref. Presidente Castello Branco-SC
Provas:
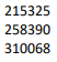
Em um evento será realizado um sorteio beneficente em
prol de uma causa social. Todos que chegam ao evento devem
retirar um número de um totem disponível. Esses números são
gerados a partir de uma lógica específica. Considere que os
últimos três números retirados no totem foram:

Qual das alternativas apresenta o segundo número a ser retirado do totem após os últimos três, acima citados?

Qual das alternativas apresenta o segundo número a ser retirado do totem após os últimos três, acima citados?
Provas
Questão presente nas seguintes provas
3017534
Ano: 2023
Disciplina: Matemática
Banca: Fênix
Orgão: Pref. Presidente Castello Branco-SC
Disciplina: Matemática
Banca: Fênix
Orgão: Pref. Presidente Castello Branco-SC
Provas:
Considere que existem dois triângulos retângulos iguais
sobre uma superfície. Um dos catetos de um desses triângulos
mede exatamente 9 cm, e a hipotenusa, 15 cm. Caso esses dois
triângulos retângulos sejam unidos pelas suas hipotenusas,
será originada uma nova figura geométrica plana, a qual terá
como perímetro:
Provas
Questão presente nas seguintes provas
3017533
Ano: 2023
Disciplina: Matemática
Banca: Fênix
Orgão: Pref. Presidente Castello Branco-SC
Disciplina: Matemática
Banca: Fênix
Orgão: Pref. Presidente Castello Branco-SC
Provas:
Dois jovens estão jogando dardos em uma parede, e
resolvem determinar a distância entre os pontos nos quais
ficaram presos os dois últimos dardos lançados. Para isso, eles
desenham nessa parede um plano cartesiano e determinam os
pontos, em unidades de comprimento: (2, 3) e (8, 11). Qual das
alternativas traz a distância entre esses dois pontos, em
unidades de comprimento?
Provas
Questão presente nas seguintes provas
3017532
Ano: 2023
Disciplina: Matemática
Banca: Fênix
Orgão: Pref. Presidente Castello Branco-SC
Disciplina: Matemática
Banca: Fênix
Orgão: Pref. Presidente Castello Branco-SC
Provas:
Considere que sobre uma mesa existem dez esferas de
plástico. Cada uma dessas esferas possui duas pequenas
esferas de plástico dentro de si, contendo cada uma, uma
moeda. De todas as moedas que existem sobre essa mesa,
dentro de esferas, somente 4 delas são de R$ 1,00. Qual é a
probabilidade de uma pessoa abrir uma das pequenas esferas,
e não encontrar uma moeda de R$ 1,00?
Provas
Questão presente nas seguintes provas
3017531
Ano: 2023
Disciplina: Matemática
Banca: Fênix
Orgão: Pref. Presidente Castello Branco-SC
Disciplina: Matemática
Banca: Fênix
Orgão: Pref. Presidente Castello Branco-SC
Provas:
Uma série de números se comporta como uma progressão
aritmética, e acerca dos elementos dessa série, tem-se apenas
a informação de que o primeiro é 3, o quinto é 31 e o décimo é
66. Com base nessas informações, assinale a alternativa que
apresenta a metade da soma dos dez primeiros elementos
dessa série?
Provas
Questão presente nas seguintes provas
3017530
Ano: 2023
Disciplina: Matemática
Banca: Fênix
Orgão: Pref. Presidente Castello Branco-SC
Disciplina: Matemática
Banca: Fênix
Orgão: Pref. Presidente Castello Branco-SC
Provas:
De forma a auxiliar a compreensão acerca da distribuição
dos alunos de uma sala de aula de um curso infantil de artes
quanto à sua idade, um professor registrou essas idades na
forma de uma matriz, com base na localização de onde os
alunos se sentam na sala:

Assinale a alternativa que apresenta o determinante dessa matriz obtida pelo professor em questão?
Assinale a alternativa que apresenta o determinante dessa matriz obtida pelo professor em questão?
Provas
Questão presente nas seguintes provas
3017529
Ano: 2023
Disciplina: Matemática
Banca: Fênix
Orgão: Pref. Presidente Castello Branco-SC
Disciplina: Matemática
Banca: Fênix
Orgão: Pref. Presidente Castello Branco-SC
Provas:
Observe as equações de primeiro grau a seguir, as quais são
utilizadas como base para se obter o resultado de dois valores
incógnitos que devem ser somados para se chegar ao
coeficiente K
2x + 3 = - 3x + 18 120 - y = 20 + y
Qual das alternativas apresenta o valor da décima parte do coeficiente K?
2x + 3 = - 3x + 18 120 - y = 20 + y
Qual das alternativas apresenta o valor da décima parte do coeficiente K?
Provas
Questão presente nas seguintes provas
3017528
Ano: 2023
Disciplina: Estatística
Banca: Fênix
Orgão: Pref. Presidente Castello Branco-SC
Disciplina: Estatística
Banca: Fênix
Orgão: Pref. Presidente Castello Branco-SC
Provas:
Seja uma instituição de pesquisas de mercado que
recentemente buscou encontrar a média aritmética do valor de
um produto específico em lojas diversas de um mesmo bairro
em um Município. A instituição obteve como média aritmética,
R$ 78,80. Observe os dados utilizados como base para esse
resultado:

Qual das alternativas apresenta o preço do produto específico na Loja 10?

Qual das alternativas apresenta o preço do produto específico na Loja 10?
Provas
Questão presente nas seguintes provas
3017527
Ano: 2023
Disciplina: Matemática
Banca: Fênix
Orgão: Pref. Presidente Castello Branco-SC
Disciplina: Matemática
Banca: Fênix
Orgão: Pref. Presidente Castello Branco-SC
Provas:
Um motorista precisa dividir igualmente uma carga de 1500
kg entre 5 caminhões. Quantos quilogramas de carga cada
caminhão deverá transportar?
Provas
Questão presente nas seguintes provas
3017526
Ano: 2023
Disciplina: Matemática
Banca: Fênix
Orgão: Pref. Presidente Castello Branco-SC
Disciplina: Matemática
Banca: Fênix
Orgão: Pref. Presidente Castello Branco-SC
Provas:
Durante uma viagem, um motorista percorre 3/5 de sua
rota, que totaliza 600 km. Quantos quilômetros ele ainda
precisa percorrer para completar sua rota?
Provas
Questão presente nas seguintes provas
Cadernos
Caderno Container