Magna Concursos

Foram encontradas 25 questões.

3999246 Ano: 2025
Disciplina: Matemática
Banca: FRONTE
Orgão: Pref. Pontal-SP
Provas:
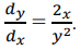
Um professor de matemática, ao revisar os Fundamentos de Matemática Elementar em um nível mais aprofundado, propõe a resolução da equação diferencial ordinária (EDO) de primeira ordem: Enunciado 4491545-1 A solução geral para esta EDO é:
 

Provas

Questão presente nas seguintes provas
3999245 Ano: 2025
Disciplina: Matemática
Banca: FRONTE
Orgão: Pref. Pontal-SP
Provas:
Um professor de PEB II propõe a seus alunos o desafio de encontrar a soma de todas as soluções distintas da equação trigonométrica 2cos2(x) - sen(x) - 1 = 0 dentro do intervalo [0, 2π]. O valor correto dessa soma é:
 

Provas

Questão presente nas seguintes provas
3999244 Ano: 2025
Disciplina: Matemática
Banca: FRONTE
Orgão: Pref. Pontal-SP
Provas:
Em um plano cartesiano, um professor desenha a reta (r) de equação 2x + 3y - 1 = 0. Ele então pede aos alunos que encontrem a equação geral da reta (s) que é perpendicular à reta (r) e que passa pelo ponto P(1, - 2). A equação correta da reta (s) é:
 

Provas

Questão presente nas seguintes provas
3999243 Ano: 2025
Disciplina: Matemática
Banca: FRONTE
Orgão: Pref. Pontal-SP
Provas:
No estudo dos números complexos, as potências da unidade imaginária “i” são fundamentais. O valor da expressão Enunciado 4491542-1onde i2 = -1, é:
 

Provas

Questão presente nas seguintes provas
3999242 Ano: 2025
Disciplina: Matemática
Banca: FRONTE
Orgão: Pref. Pontal-SP
Provas:
Durante a preparação de uma aula sobre o uso de escalas, um professor precisa resolver a seguinte equação logarítmica para encontrar um parâmetro xEnunciado 4491541-1 O valor de “x” que satisfaz essa equação é:
 

Provas

Questão presente nas seguintes provas
3999241 Ano: 2025
Disciplina: Matemática
Banca: FRONTE
Orgão: Pref. Pontal-SP
Provas:
Para que uma matriz seja singular, seu determinante deve ser nulo. Sabendo disso, o valor de k que torna a matriz A = Enunciado 4491540-1 uma matriz singular é:
 

Provas

Questão presente nas seguintes provas
3999240 Ano: 2025
Disciplina: Matemática
Banca: FRONTE
Orgão: Pref. Pontal-SP
Provas:
Um professor de PEB II aplica uma atividade em que os alunos devem empilhar blocos seguindo um padrão: a primeira fileira tem 5 blocos, a segunda tem 8 blocos, a terceira tem 11 blocos, e assim sucessivamente, sempre aumentando 3 blocos em relação à fileira anterior. Se um aluno construir uma pilha com 20 fileiras, o número total de blocos utilizados será:
 

Provas

Questão presente nas seguintes provas
3999239 Ano: 2025
Disciplina: Pedagogia
Banca: FRONTE
Orgão: Pref. Pontal-SP
O princípio da gestão democrática do ensino público, previsto na Constituição Federal, representa uma das bases estruturantes da política educacional brasileira. Em relação a esse princípio, assinale a alternativa que melhor traduz o seu conteúdo e implicações para as instituições escolares.
 

Provas

Questão presente nas seguintes provas
3999238 Ano: 2025
Disciplina: Pedagogia
Banca: FRONTE
Orgão: Pref. Pontal-SP
Os temas transversais, introduzidos pelos Parâmetros Curriculares Nacionais (PCNs), representam uma inovação curricular ao propor a integração de valores e problemáticas sociais à prática educativa. Nesse contexto, a transversalidade deve ser compreendida como:
 

Provas

Questão presente nas seguintes provas
3999237 Ano: 2025
Disciplina: Pedagogia
Banca: FRONTE
Orgão: Pref. Pontal-SP
Considerando as principais correntes teóricas da aprendizagem, disponíveis nas bibliografias e conceitos que abordam o campo do conhecimento educacional, assinale a alternativa que expressa corretamente a relação entre o papel do sujeito e o conhecimento em cada perspectiva teórica.
 

Provas

Questão presente nas seguintes provas