Foram encontradas 408 questões.
O sintoma para a Psicanálise não revela a verdade de uma doença, como na medicina, em que se buscam
provas científicas para o estabelecimento de uma relação em que o sintoma remete a um significado único,
patológico. A partir desta consideração, analise as afirmativas a seguir a respeito do sintoma, para a Psicanálise
e assinale a alternativa CORRETA.
I - O sintoma se caracteriza como uma patologia. II - O sintoma revela a verdade do sujeito do inconsciente. III - O significado de cada sintoma é sempre particular. IV - O sintoma não se constitui como um destino pulsional.
I - O sintoma se caracteriza como uma patologia. II - O sintoma revela a verdade do sujeito do inconsciente. III - O significado de cada sintoma é sempre particular. IV - O sintoma não se constitui como um destino pulsional.
Provas
Questão presente nas seguintes provas
- Psicologia ClínicaTeorias da PersonalidadeFreud
- Psicologia ClínicaTipos de PsicoterapiaPsicanalítica
- Psicologia da SaúdeDor, Estresse e Luto
- Teorias e Técnicas Psicoterápicas
Freud (1917) correlaciona luto e melancolia pela semelhança do quadro geral destas duas condições, bem
como pelo fato das circunstâncias que as desencadeiam coincidirem. De acordo com o teórico, o que diferencia
luto e melancolia é:
Provas
Questão presente nas seguintes provas
- Psicologia ClínicaTeorias da PersonalidadeFreud
- Psicologia ClínicaTipos de PsicoterapiaPsicanalítica
- Teorias e Técnicas Psicoterápicas
A respeito do amor transferencial descrito por Freud (1915), assinale a alternativa CORRETA.
Provas
Questão presente nas seguintes provas
2775191
Ano: 2023
Disciplina: Atualidades e Conhecimentos Gerais
Banca: FAUEL
Orgão: Pref. Piên-PR
Disciplina: Atualidades e Conhecimentos Gerais
Banca: FAUEL
Orgão: Pref. Piên-PR
Provas:
No final de 2022 a inflação começou a subir em todo o mundo e também deu um susto em todos nós brasileiros. Porém nós já vivemos tempos mais difíceis, só para se ter uma ideia, em março de 1990 a inflação no
Brasil chegou a 84,3% ao mês (Fonte: FGV). Quem era o Presidente da República naquela ocasião?
Provas
Questão presente nas seguintes provas
2775190
Ano: 2023
Disciplina: Atualidades e Conhecimentos Gerais
Banca: FAUEL
Orgão: Pref. Piên-PR
Disciplina: Atualidades e Conhecimentos Gerais
Banca: FAUEL
Orgão: Pref. Piên-PR
Provas:
Com quatro mulheres concorrendo ao cargo de Presidente da República, as eleições de 2022 superaram
todas as outras desde a redemocratização do Brasil em quantidade de candidatas. Todas as alterativas apresentam candidatas que disputaram a Cadeira do Palácio do Planalto no último pleito, EXCETO:
Provas
Questão presente nas seguintes provas
2775189
Ano: 2023
Disciplina: Atualidades e Conhecimentos Gerais
Banca: FAUEL
Orgão: Pref. Piên-PR
Disciplina: Atualidades e Conhecimentos Gerais
Banca: FAUEL
Orgão: Pref. Piên-PR
Provas:
Atualmente a maior cédula em circulação da “família do Real” é a de R$ 200,00. Quando nossa atual moeda
foi lançada as notas tinham um tamanho bem maior que as atuais, com o passar dos tempos as novas cédulas
que entraram em circulação foram emitidas em tamanho menor. Todas as cédulas a seguir foram relançadas e
tiveram seu tamanho reduzido, EXCETO:
Provas
Questão presente nas seguintes provas
2775188
Ano: 2023
Disciplina: Atualidades e Conhecimentos Gerais
Banca: FAUEL
Orgão: Pref. Piên-PR
Disciplina: Atualidades e Conhecimentos Gerais
Banca: FAUEL
Orgão: Pref. Piên-PR
Provas:
A Guerra do Contestado, travada na divisa do Paraná com Santa Catarina também tinha um cunho
messiânico, ou seja, possuía um forte apelo religioso. Pouco tempo antes desse conflito, outro movimento, com
um apelo religioso ainda mais fervoroso ocorreu no interior da Bahia, foi necessária a intervenção de tropas
federais para exterminar uma comunidade liderada por um religioso denominado Antônio Conselheiro. Como
esse evento histórico ficou conhecido?
Provas
Questão presente nas seguintes provas
2775187
Ano: 2023
Disciplina: Atualidades e Conhecimentos Gerais
Banca: FAUEL
Orgão: Pref. Piên-PR
Disciplina: Atualidades e Conhecimentos Gerais
Banca: FAUEL
Orgão: Pref. Piên-PR
Provas:
A ditadura civil-militar perdurou no Brasil de 1964 até 1985, nesse período as eleições ocorriam para poucos cargos e alguns municípios nem podiam sequer eleger seus prefeitos, votar no governador ou presidente
então, sem chance. Depois desse período até hoje, quantas vezes os brasileiros puderam comparecer às urnas
e eleger através do voto direto um candidato a Presidente da República?
Provas
Questão presente nas seguintes provas
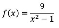
Assinale a alternativa que apresenta o maior domínio possível de uma função dada por 

Provas
Questão presente nas seguintes provas
Assinale a alternativa que apresenta duas grandezas inversamente proporcionais.
Provas
Questão presente nas seguintes provas
Cadernos
Caderno Container