Foram encontradas 60 questões.
A origem do topônimo “Paramoti” está relacionada
à(ao)
Provas
Questão presente nas seguintes provas
Paramoti é um município localizado no Sertão de
Canindé, no Ceará. Qual das afirmativas apresenta
corretamente uma de suas características geográficas?
Provas
Questão presente nas seguintes provas
O que é a base produtiva histórica de Paramoti/CE?
Provas
Questão presente nas seguintes provas
Um triângulo retângulo tem hipotenusa de 25 cm e um
dos catetos de 20 cm. O outro cateto mede
Provas
Questão presente nas seguintes provas
Um triângulo isóceles tem lados iguais medindo 10 cm
e base de 12 cm. Calculando a área, encontraremos o valor
da opção
Provas
Questão presente nas seguintes provas
Um terreno retangular mede 2,4 hm de comprimento por
350 m de largura. Sua área, em m², é de
Provas
Questão presente nas seguintes provas
Calcule o valor numérico de 2a²−3b+ab para a = −2 e b =
5 e marque a opção CORRETA.
Provas
Questão presente nas seguintes provas
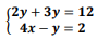
Resolvendo o sistema:
![]()
encontramos os dados da opção
Provas
Questão presente nas seguintes provas
Um produto custa R$ 480,00. O preço sofre dois
descontos sucessivos: o primeiro de 20% e o segundo de
15%. O valor final do produto é
Provas
Questão presente nas seguintes provas
Simplificando a expressão: ( 3√8 ) 4 ÷ √16, encontramos
o valor de
Provas
Questão presente nas seguintes provas
Cadernos
Caderno Container