Foram encontradas 40 questões.
Com base no Art. 26 da Lei Orgânica do Município de Panambi, a câmara Municipal
de Vereadores reúne-se, independentemente de convocação, em dois períodos anuais. Sabendo que
o segundo período compreende as datas de 1º de agosto a 22 de dezembro, salvo prorrogação ou
convocação extraordinária, qual alternativa abaixo contempla o 1º período:
Provas
Questão presente nas seguintes provas
Conforme dispõe o Art.53 da Lei Orgânica do Município de Panambi, substituirá o
____________, no caso de impedimento, e suceder-lhe-á, no caso de vaga, o ______________.
Em caso de impedimento de ambos ou vacância dos respectivos cargos, será chamado ao exercício
do cargo o Presidente da Câmara Municipal.
Assinale a alternativa que preenche, correta e respectivamente, as lacunas do trecho acima.
Assinale a alternativa que preenche, correta e respectivamente, as lacunas do trecho acima.
Provas
Questão presente nas seguintes provas
Conforme o Art. 20 da Lei Orgânica do Município de Panambi, os ______________
são invioláveis pelas suas opiniões, palavras e votos proferidos no exercício do mandato e na
circunscrição do Município e terão acesso às repartições públicas municipais para obterem
informações acerca do andamento de quaisquer providências administrativas, observada a
hierarquia.
Assinale a alternativa que preenche corretamente a lacuna do trecho acima.
Assinale a alternativa que preenche corretamente a lacuna do trecho acima.
Provas
Questão presente nas seguintes provas
Determinada edificação com 5 andares está em um lote de 250m². Cada andar
dessa edificação tem 75m² e ela não apresenta beirais, logo, sua projeção horizontal apresenta uma
área de 75m². Assinale a alternativa que apresenta, respectivamente, o Índice de Aproveitamento e
a Taxa de Ocupação, considerando a edificação e o lote descritos.
Provas
Questão presente nas seguintes provas
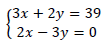
Determine os valores de x e y para que satisfaçam o sistema abaixo.

Provas
Questão presente nas seguintes provas
Assinale a alternativa que apresenta o valor de x na seguinte equação:(dfrac{x +42}{x-2} = 12)
Provas
Questão presente nas seguintes provas
A embalagem de um chocolate tem formato triangular, conforme figura abaixo. A
base da caixa é um triângulo equilátero com as seguintes medidas: o lado de 6 cm e altura de 30 cm.
A capacidade da caixa, em cm³, é de:


Provas
Questão presente nas seguintes provas

Provas
Questão presente nas seguintes provas

Provas
Questão presente nas seguintes provas

I. Agência, município e Brasília são palavras acentuadas por serem paroxítonas terminadas em ditongo ou proparoxítonas eventuais. II. Números, Córrego e quilômetros são palavras acentuadas por serem proparoxítonas. III. País e gaúcho recebem acento gráfico por apresentarem o mesmo fenômeno fonético.
Quais estão corretas?
Provas
Questão presente nas seguintes provas
Cadernos
Caderno Container