Foram encontradas 380 questões.
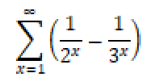
O resultado da seguinte série é

Provas
Questão presente nas seguintes provas
Uma fatia de bolo foi recortada, conforme
apresentado a seguir. A vista superior também é
representada.
O volume da fatia é:
O volume da fatia é:
Provas
Questão presente nas seguintes provas
Uma pessoa P observa um carro C e uma
árvore A num ângulo de visão de 45°. A distância
entre a pessoa e a árvore é de 50 m e o ângulo entre
a pessoa e a árvore a partir do carro é de 30°. A
distância aproximada entre A e C é


Provas
Questão presente nas seguintes provas
Um embrulho para doces de festa é feito a partir
de um quadrado de lado 3cm e 4 semicírculos, como
indicado na figura abaixo. A área que o embrulho
ocupa, quando planificado, é


Provas
Questão presente nas seguintes provas
O valor da expressão é

Provas
Questão presente nas seguintes provas
Segundo o Boletim Estatístico ―Mulheres no
trânsito‖, em 2017 foram pagas 384 mil indenizações
pagas pelo seguro DPVAT. O infográfico a seguir
revela que apenas 25% das indenizações foram
pagas a vítimas do sexo feminino.
Quantas indenizações, aproximadamente, foram pagas às pessoas na faixa etária de 25 a 34 anos, em 2017?
Quantas indenizações, aproximadamente, foram pagas às pessoas na faixa etária de 25 a 34 anos, em 2017?
Provas
Questão presente nas seguintes provas
O envelope da figura tem dimensões
desconhecidas, sabendo-se apenas que o triângulo
ABC tem área igual 50 cm². Além disso, as medidas
AB, BC, CD e DE são congruentes entre si e as
medidas AC e CE também são congruentes entre si.

Qual a área do triângulo ACE?

Qual a área do triângulo ACE?
Provas
Questão presente nas seguintes provas
Temos que 10 enfermeiras aplicam 10 injeções
em 10 minutos. Logo, 100 enfermeiras aplicam 100
injeções em ...
Provas
Questão presente nas seguintes provas
Cinco alunos leem 10 livros em 3 semanas.
Quantos livros 10 alunos leem em 6 semanas?
Provas
Questão presente nas seguintes provas
Leia as afirmações a seguir:
I – Um quadrado de área 81cm² terá aresta igual a 9 cm. II – Um quadrado de perímetro 16 cm terá área 16 cm. III – Um quadrado de aresta 5 cm terá perímetro igual a 20 cm.
I – Um quadrado de área 81cm² terá aresta igual a 9 cm. II – Um quadrado de perímetro 16 cm terá área 16 cm. III – Um quadrado de aresta 5 cm terá perímetro igual a 20 cm.
Provas
Questão presente nas seguintes provas
Cadernos
Caderno Container