Foram encontradas 325 questões.
A primeira proposta de ensino da História do Brasil apresentava características específicas que influenciaram a forma como a história nacional foi ensinada. Sobre essas características, analise as proposições abaixo:
I- A história era relatada como uma narrativa objetiva e contínua, sem intervenção do narrador.
II- A hierarquização racial foi defendida, com a ideia de superioridade da raça branca sobre os demais grupos.
III — O Estado foi retratado como o principal agente histórico, responsável pelos grandes feitos nacionais.
IV — A narrativa destacava a contribuição cultural e econômica dos africanos e indígenas em igualdade com os europeus.
Marque a alternativa correta:
Provas
Observe as afirmativas:
I - A soma dos ângulos internos de um polígono regular de 8 lados é igual a 1080 graus;
II - A soma dos ângulos externos de qualquer polígono convexo, independentemente do número de lados, é sempre igual a 360 graus.
III — Em um polígono regular, todos os ângulos internos são congruentes entre si.
Estão corretas:
Provas
Com base na análise de Hannah Arendt sobre as origens do totalitarismo, assinale a alternativa correta que reflete as características do nazismo:
Provas
Sobre as estruturas e relações do sistema feudal descritas por Perry Anderson, analise as proposições a seguir:
I- O senhor feudal exercia poder jurisdicional sobre os camponeses que viviam em suas terras, controlando atividades produtivas e relações sociais.
II — A terra feudal era concedida em um sistema hierárquico, no qual os senhores de grau inferior deviam serviços e lealdade aos nobres superiores.
III — Os camponeses, no sistema feudal, eram completamente livres, podendo abandonar as terras do senhor a qualquer momento.
Marque a alternativa correta:
Provas
De acordo com Perry Anderson, a ascensão de Roma no período republicano apresentou características que marcaram sua expansão e diferenciação em relação às experiências anteriores. Sobre esse contexto, analise as proposições abaixo:
I- A expansão de Roma combinou anexação de terras, sujeição de aliados e fundação de colônias, traços comuns a cidades-estado clássicas.
II — A evolução constitucional romana levou ao desaparecimento completo do poder político aristocrático na fase republicana.
III — A ascensão de Roma envolveu um deslocamento do centro de gravidade do Mundo Antigo, mas também um desenvolvimento socioeconômico dinâmico.
Marque a alternativa correta:
Provas
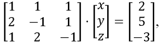
A equação matricial abaixo representa um sistema linear

Ao resolvê-lo, indique a soma das variáveis x,y e z:
Provas
Conforme Abud e Alves, a concepção de história na segunda metade do século XIX era bastante restrita e voltada a aspectos morais e espirituais. Sobre essa abordagem, analise as proposições a seguir:
I- A história, até a segunda metade do século XIX, era dividida entre história profana e história eclesiástica, com o foco na aprendizagem moral dos jovens.
Il — A ampliação das fontes históricas e a expansão dos conceitos de história romperam essa divisão no final do século XIX.
III — O movimento da Escola Nova promoveu o desprezo das fontes históricas como materiais didáticos.
E falso o que se afirma em:
Provas
Em uma sala de conferências, há 60 cadeiras numeradas de 1 a 60 e participarão do evento 36 pessoas, sendo 14 palestrantes e 22 ouvintes. Sabe-se que os palestrantes devem ocupar apenas cadeiras cuja numeração seja um número par. De quantas formas as pessoas poderão ser organizadas nessas condições?
Provas
Em relação ao ensino e prática de história, analise as assertivas abaixo:
I - A memoração histórica é o processo de formação de sentido por meio da narrativa histórica e interpretação temporal.
Il - A memoração histórica transforma o passado em algo proveitoso para o presente e orientador para o futuro, conectando experiências temporais.
III - A história prática está ligada à aplicação funcional da história no cotidiano.
IV - A história, ao ser ensinada, tem em vista produzir conhecimento histórico que responda questões cotidianas em busca de orientações para a vida, para ações visando o futuro.
É verdadeiro o que se afirma em:
Provas
Uma escola particular paga um salário mensal de R$ 4.500,00 aos seus professores. Após uma reestruturação no quadro de funcionários, 10% dos professores serão desligados e o valor total economizado com os salários desses profissionais será redistribuído igualmente entre os professores que permanecerão na instituição. Qual será o novo salário mensal de cada professor?
Provas
Caderno Container