Foram encontradas 120 questões.
Em um julgamento, após ouvidas as testemunhas de defesa e de acusação, as considerações do promotor e do advogado de defesa, os jurados decidem pela culpabilidade ou não do réu. Cada jurado escreve em uma cédula "culpado" ou "inocente", e a votação, que é secreta, acontece uma única vez. Nesse caso, pode-se identificar cada voto como um experimento binomial em que "sucesso" significa "culpado" e que a probabilidade de sucesso para cada membro do júri é igual à do réu ser considerado culpado. Se existem N jurados, se a probabilidade do réu ser considerado culpado é S, então a probabilidade de exatamente T dos jurados votarem pela culpabilidade do réu é expressa pela função

Com base nessas informações, julgue os itens a seguir.
Para cada valor de S fixado no intervalo 0 < S < 1, quanto maior for o número de jurados menor será a probabilidade de todos votarem pela culpabilidade do réu.
Provas
Em um julgamento, após ouvidas as testemunhas de defesa e de acusação, as considerações do promotor e do advogado de defesa, os jurados decidem pela culpabilidade ou não do réu. Cada jurado escreve em uma cédula "culpado" ou "inocente", e a votação, que é secreta, acontece uma única vez. Nesse caso, pode-se identificar cada voto como um experimento binomial em que "sucesso" significa "culpado" e que a probabilidade de sucesso para cada membro do júri é igual à do réu ser considerado culpado. Se existem N jurados, se a probabilidade do réu ser considerado culpado é S, então a probabilidade de exatamente T dos jurados votarem pela culpabilidade do réu é expressa pela função

Com base nessas informações, julgue os itens a seguir.
Se S = 0,5 e N = 4, então a probabilidade de todos os jurados votarem pela culpabilidade do réu é igual a 
Provas
Em um julgamento, após ouvidas as testemunhas de defesa e de acusação, as considerações do promotor e do advogado de defesa, os jurados decidem pela culpabilidade ou não do réu. Cada jurado escreve em uma cédula "culpado" ou "inocente", e a votação, que é secreta, acontece uma única vez. Nesse caso, pode-se identificar cada voto como um experimento binomial em que "sucesso" significa "culpado" e que a probabilidade de sucesso para cada membro do júri é igual à do réu ser considerado culpado. Se existem N jurados, se a probabilidade do réu ser considerado culpado é S, então a probabilidade de exatamente T dos jurados votarem pela culpabilidade do réu é expressa pela função

Com base nessas informações, julgue os itens a seguir.

Provas
Disciplina: Matemática Financeira
Banca: CESPE / CEBRASPE
Orgão: Pref. Manaus-AM
Uma concessionária vendeu, no último mês, 12 automóveis que possuíam direção hidráulica e aparelho de som instalados. Essa venda correspondeu a 10% dos automóveis vendidos no período e que possuíam direção hidráulica mas não tinham aparelho de som e a 25% dos carros vendidos que possuíam aparelho de som mas não direção hidráulica. Com base nessas informações, julgue os itens a seguir.
A quantidade de automóveis vendidos e que possuíam direção hidráulica mas não aparelho de som é igual a 120.
Provas
Disciplina: Matemática Financeira
Banca: CESPE / CEBRASPE
Orgão: Pref. Manaus-AM
Uma concessionária vendeu, no último mês, 12 automóveis que possuíam direção hidráulica e aparelho de som instalados. Essa venda correspondeu a 10% dos automóveis vendidos no período e que possuíam direção hidráulica mas não tinham aparelho de som e a 25% dos carros vendidos que possuíam aparelho de som mas não direção hidráulica. Com base nessas informações, julgue os itens a seguir.
A quantidade de automóveis vendidos pela concessionária e que possuíam pelo menos um desses equipamentos é igual a 168.
Provas
Existem vários programas computacionais que permitem ao usuário traçar gráfico de função a partir da expressão que a define e do domínio previamente estabelecido. Um professor preparou uma atividade para seus alunos utilizando um desses programas. Ele escolheu uma lista de funções com seus domínios e pediu que os alunos desenhassem todas elas em um mesmo sistema de coordenadas cartesianas. A curva que se obteve como resultado do trabalho está ilustrado na figura a seguir.

A partir das informações e da figura acima, julgue os itens a seguir.
Se parte da curva está sobre o gráfico da função 9y = 2x + 18 então essa parte está sobre 2 uma parábola de vértice no ponto (0, 2).
Provas
Existem vários programas computacionais que permitem ao usuário traçar gráfico de função a partir da expressão que a define e do domínio previamente estabelecido. Um professor preparou uma atividade para seus alunos utilizando um desses programas. Ele escolheu uma lista de funções com seus domínios e pediu que os alunos desenhassem todas elas em um mesmo sistema de coordenadas cartesianas. A curva que se obteve como resultado do trabalho está ilustrado na figura a seguir.

A partir das informações e da figura acima, julgue os itens a seguir.
Parte da curva está sobre o gráfico de uma reta com coeficiente angular igual a 3.
Provas
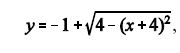
Existem vários programas computacionais que permitem ao usuário traçar gráfico de função a partir da expressão que a define e do domínio previamente estabelecido. Um professor preparou uma atividade para seus alunos utilizando um desses programas. Ele escolheu uma lista de funções com seus domínios e pediu que os alunos desenhassem todas elas em um mesmo sistema de coordenadas cartesianas. A curva que se obteve como resultado do trabalho está ilustrado na figura a seguir.

A partir das informações e da figura acima, julgue os itens a seguir.
Se a curva contém parte da circunferência de centro (!4, !1) e raio 2, então essa parte corresponde ao gráfico da função
, para !6 # x # !2.
Provas
O pentagrama, símbolo dos pitagóricos, divide o pentágono regular que o circunscreve nas regiões designadas pelos algarismos 1, 2, 3 e 4, como ilustrado na figura abaixo. O professor sugeriu aos alunos que pintassem as regiões utilizando apenas as cores azul, rosa, verde e amarelo, e de forma que duas regiões que possuem um segmento de reta em comum não podem ser pintadas com a mesma cor.

Acerca dessa atividade, julgue os itens subseqüentes.
Segundo a regra estabelecida, a região 4 poderá ser pintada com a mesma cor de uma das outras três regiões.
Provas
O pentagrama, símbolo dos pitagóricos, divide o pentágono regular que o circunscreve nas regiões designadas pelos algarismos 1, 2, 3 e 4, como ilustrado na figura abaixo. O professor sugeriu aos alunos que pintassem as regiões utilizando apenas as cores azul, rosa, verde e amarelo, e de forma que duas regiões que possuem um segmento de reta em comum não podem ser pintadas com a mesma cor.

Acerca dessa atividade, julgue os itens subseqüentes.
Se um aluno utilizar apenas 3 das 4 cores permitidas e seguir a condição estabelecida, então o número de configurações distintas possíveis que ele poderá obter é igual a 4.
Provas
Caderno Container