Foram encontradas 695 questões.
O enunciado a seguir deve ser usado para a questão.
Num triângulo tem-se: 
Sobre o enunciado, é CORRETO afirmar que:
Provas
Dizemos que uma grafia de uma palavra composta por N letras, com N ≥ 8, é aceitável quando no máximo N,de suas letras ocupar lugares diferentes dos corretos, em que N, é o maior inteiro menor do que ou igual a N/4 . Quantas são ao todo as grafias aceitáveis da palavra REPUBLICAMOS?
Provas
Considere a progressão geométrica cujo primeiro termo é 2023 e cuja razão é 2024. Quantos são os restos distintos obtidos dividindo-se por 5, em ℤ os termos dessa progressão?
Provas
Sabe-se que a raiz real positiva do polinômio complexo p(z) = z3 - z2 - z + 1 é também uma raiz do polinômio complexo

em que α e β são números complexos não reais e que não são raízes n-ésimas da unidade, qualquer que seja o número inteiro positivo n.
É CORRETO afirmar que:
Provas
O professor Logaritmilson propôs à sua turma o seguinte problema: quantas são as soluções inteiras e não negativas x1,x2, ...x10 da equação
log2 [2(x1 + x2 + ... + x10 )] = 3?
Arismetisvalda, que fazia parte dessa turma, resolveu o problema, mas se esqueceu do fator 2 que multiplica a soma das incógnitas, dentro do logaritmo, encontrando um total de N2 soluções. Chamando de N1 o número de soluções do problema proposto por Logaritmilson, é CORRETO afirmar que:
Provas
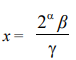
Dado um número racional positivo x, é sempre possível escrevê-lo da única forma x seguinte:
,
Em que α ∈ ℤ, α ≥ 0, β ∈ ℤ , β ≥ 1, y ∈ ℤ, y ≥ 1, m.d.c.(2α β, y) = 1 e m.d.c.(2, β) = 1. Denotando por ℚ>0 e ℤ≥0 o conjunto de todos os racionais positivos e o conjunto de todos os inteiros não negativos, respectivamente, e supondo x ∈ ℚ>0 escrito na forma anteriormente descrita, a esse x associamos o número α ∈ ℤ≥0.
A respeito dessa regra de correspondência, é CORRETO afirmar que:
Provas
Seja ℕ = {1, 2, 3, 4, 5, ...} o conjunto de todos os números naturais. A função φ de Euler é a função φ : ℕ → ℕ assim definida: para cada n ∈ ℕ, φ (n) é igual à quantidade de números naturais menores do que ou iguais a n que são coprimos ou relativamente primos com n.
São feitas as seguintes afirmações:
I- Se p ∈ ℕ é primo, então
é igual à probabilidade de, retirando-se ao acaso uma bola de uma urna contendo p bolas indistinguíveis numeradas de 1 a p, a bola retirada estar numerada com um número primo.
II- Se φ (n) ≥ 2024, então n é divisível por, pelo menos, 2024 números primos, todos distintos entre si.
III- O valor φ(2024) é igual ao número de elementos do conjunto S, em que:
S = { n ∈ ℕ : 1 ≤ n ≤ 2024 e n não é divisível por 2 nem por 11 nem por 23}.
É CORRETO o que se afirma apenas em:Provas
- SintaxeTermos Essenciais da Oração
- SintaxeTermos Acessórios e Independentes
- Interpretação de TextosFiguras e Vícios de LinguagemVícios de Linguagem
- Interpretação de TextosVariação Linguística
Para responder à questão, leia a tira a seguir.

Disponível em: https://www.instagram.com/p/C9-4nosR7df/. Acesso em: 30 jul. 2024.
No tocante à análise linguística da tira, julgue as afirmativas a seguir.
I- Na oração “Eu não ligo para beleza”, temos um predicado verbo-nominal.
II- O erro ortográfico verificado na palavra “paiaçada” está a serviço da construção do efeito de sentido de humor da tira.
III- Na oração “fica fazendo paiaçada”, temos um sujeito indeterminado.
IV- A expressão “Além de feio” atua como adjunto adverbial.
É CORRETO o que se afirma apenas em:
Provas
- SintaxeFrase, Oração e PeríodoOração SubordinadaSubordinada Adjetiva
- SintaxeFrase, Oração e PeríodoOração SubordinadaSubordinada Substantiva
- SintaxeFrase, Oração e PeríodoOração SubordinadaSubordinadas Adverbial
Para responder à questão, leia a tira a seguir.

Disponível em: https://www.instagram.com/p/C9-4nosR7df/. Acesso em: 30 jul. 2024.
Provas
Para responder à questão, leia a tira a seguir.

Disponível em: https://www.instagram.com/p/C9-4nosR7df/. Acesso em: 30 jul. 2024.
Acerca da leitura da tira, considere as afirmativas abaixo.
I- O casamento não se mostra como um fator determinante para a mudança de comportamento da esposa.
II- A referência temporal é central para o estabelecimento da coerência textual.
III- O humor da tira se constrói na dualidade de comportamentos antes e depois do casamento.
IV- A quebra de expectativa ocorrida no último quadrinho dispara o efeito de humor da tira.
É CORRETO o que se afirma apenas em:
Provas
Caderno Container