Foram encontradas 990 questões.
Provas
Provas
Provas
O valor de x real, de modo que
seja real puro e não nulo, é:
Provas
O domínio da função f(x) =
é definido por:
Provas
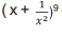
O termo independente de x no desenvolvimento do binômio de Newton
é:
Provas
O volume, em metros cúbicos, de um tronco de cone obtido a partir de um cone equilátero de raio igual a
, cortado na metade da altura, será:
Provas

Provas
Sendo tgx =
com x pertencente ao 1º quadrante, o valor da expressão E = senx.cosx é:
Provas
Arthur construiu uma casa e colocou uma laje que custou R$ 320,00 cada metro cúbico de concreto. A laje tinha o formato de um paralelepípedo com as seguintes dimensões:

O custo total, somente devido ao concreto, foi:
Provas
Caderno Container