Foram encontradas 2.131 questões.
De acordo com a Lei nº 14.133, de 1º de abril de 2021, na execução indireta de obras e serviços de engenharia, são admitidos, entre outros regimes, o regime de contratação de mão de obra para pequenos trabalhos por preço certo, com ou sem fornecimento de materiais, que é denominado
Provas
Para o projeto do traçado da rede de abastecimento de água de um novo bairro, desenhada no software AutoCAD, o alinhamento AB possui comprimento de 22 m e coordenadas, em metros, A (13,17) e B (32.05,6).

Empregando o comando LINE para desenhar o alinhamento em coordenadas polares relativas, a partir do ponto A, deve-se digitar, após TO POINT,
Provas
Considere a composição de custos de unitários para a execução de um metro de camada de berço com lastro drenante para assentamento das redes coletoras enterradas de esgoto sanitário.
| Insumo | Unidade | Quantidade | Custo unitário (R$) |
|---|---|---|---|
| Pedreiro | h | 0,5 | 20,00 |
| Servente | h | 0,5 | 12,00 |
| Areia | m3 | 0,04 | 100,00 |
| Cimento | Saco de 5 kg | 0,4 | 15,00 |
| Cascalho grosso | kg | 0,5 | 10,00 |
Na elaboração do orçamento para cobrir 500 m com essa camada de berço com lastro drenante, a previsão orçamentária para a realização desse serviço, sem considerar BDI e leis sociais, é de
Provas
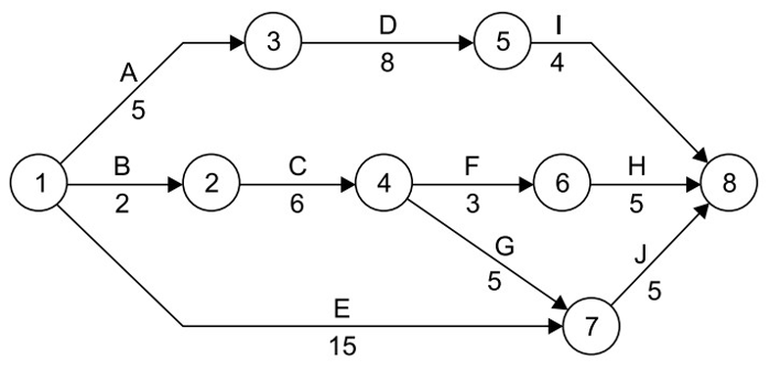
Considere o planejamento de uma reforma parcial na rede de esgoto de um bairro periférico municipal dado pelo cronograma Pert- CPM da figura a seguir:

(Arquivo pessoal; imagem usada com autorização)
Onde:
– As letras representam as atividades; e o tempo, em dias, está indicado abaixo das letras.
A obra tem previsão de início no dia 11 de novembro do presente ano. A data mais tarde que a atividade “A” pode ser iniciada, para que não ocorra nenhum atraso na obra da reforma, é no dia
Provas
Provas
Provas
Provas
Considere que uma adutora que interliga dois reservatórios de água, distanciados entre si 4.500 m, deve conduzir uma vazão média de 150 litros/segundo.
Dados:
– Nível médio de água no reservatório 1 = cota altimétrica 135,0 m.
– Nível médio de água no reservatório 2 = cota altimétrica 112,5 m

O gradiente hidráulico correspondente à perda de carga unitária é:
Provas
Em uma gleba será construído um galpão que servirá de depósito para uma edificação principal. O projeto da instalação hidráulica de água fria que irá para o galpão tem origem na edificação principal e é composto por 45,20 m de tubulação, 3 registros de gaveta, um Tê e 5 cotovelos de 90º.
Dados:
– Comprimento equivalente do registro de gaveta = 0,20 m.
– Comprimento equivalente do Tê = 1,20 m.
– Comprimento equivalente do cotovelo = 0,60 m.
Considerando que a perda de carga unitária na tubulação é de 0,06 m/m, na instalação hidráulica para o galpão deverá ocorrer uma perda de pressão da água de
Provas
Um canal a céu aberto foi construído para drenagem de águas superficiais, como parte de um projeto público de drenagem municipal. Para tanto, considere a seção transversal do canal a céu aberto conforme especificado a seguir:

(Arquivo pessoal; imagem usada com autorização)
O raio hidráulico do canal de drenagem é igual a
Provas
Caderno Container