Magna Concursos

Foram encontradas 50 questões.

3731596 Ano: 2025
Disciplina: Direito Sanitário
Banca: VUNESP
Orgão: Pref. Itatiba-SP
Provas:

Segundo a Lei nº 10.083, de 23 de setembro de 1998, que dispõe sobre o código sanitário do Estado de São Paulo, quando constatadas irregularidades configuradas como infração sanitária nesse Código ou em outros diplomas legais vigentes, a autoridade sanitária competente lavrará de imediato os autos de infração. O auto de infração será lavrado em três vias no mínimo, destinando-se a primeira ao autuado, e conterá, para defesa ou impugnação do auto de infração, o prazo de

 

Provas

Questão presente nas seguintes provas
3731595 Ano: 2025
Disciplina: Engenharia Civil
Banca: VUNESP
Orgão: Pref. Itatiba-SP
Provas:

Segundo a Lei Municipal nº 2.965, de 17 de novembro de 1997 e suas alterações, no município de Itatiba não serão computados como área construída os beirais que possuírem largura máxima de até

 

Provas

Questão presente nas seguintes provas
3731594 Ano: 2025
Disciplina: Engenharia Civil
Banca: VUNESP
Orgão: Pref. Itatiba-SP
Provas:

No projeto realizado em AutoCAD© de uma área permeável pública, foi necessário chanfrar todos os cantos de um retângulo, que representa a área permeável em planta, com medidas definidas. Para tanto, o comando do AutoCAD© que permite chanfrar todos os cantos do retângulo é o comando:

 

Provas

Questão presente nas seguintes provas
3731593 Ano: 2025
Disciplina: Engenharia Civil
Banca: VUNESP
Orgão: Pref. Itatiba-SP
Provas:
Entre os requisitos técnicos normativos para a operação e para adequada manutenção dos sistemas prediais de água fria e água quente (SPAFAQ), tem-se a limpeza dos reservatórios de distribuição de água, que visa preservar a qualidade da água e que deve ser realizada, no máximo, a cada
 

Provas

Questão presente nas seguintes provas
3731592 Ano: 2025
Disciplina: Engenharia Civil
Banca: VUNESP
Orgão: Pref. Itatiba-SP
Provas:
Na montagem de um tapume metálico para o fechamento do terreno de uma nova obra pública são necessários, para cada metro, chapas de aço galvanizado de 1 m x 2,20 m (R$ 150,00) e 2 h de montador (R$ 25,00/h). Ao reduzir o custo das chapas de aço em 12%, gera-se uma economia de
 

Provas

Questão presente nas seguintes provas
3731591 Ano: 2025
Disciplina: Engenharia Civil
Banca: VUNESP
Orgão: Pref. Itatiba-SP
Provas:

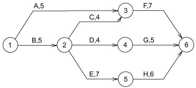
A reforma de uma escola pública foi planejada de acordo com o cronograma PERT-CPM da figura a seguir:

Enunciado 4492968-1

Dados:

– as atividades são representadas por letras, seguidas de sua duração em semanas.

Com a previsão do início do ano letivo e, portanto, para garantir a entrega da obra de reforma da escola dentro do cronograma planejado, as atividades que não podem atrasar são:

 

Provas

Questão presente nas seguintes provas
3731590 Ano: 2025
Disciplina: Engenharia Civil
Banca: VUNESP
Orgão: Pref. Itatiba-SP
Provas:

Na composição do orçamento para o revestimento do piso de uma empresa de engenharia com granito utilizou-se a tabela de custos unitários a seguir:

Assentamento do granito unidade (m2)
Insumo Unidade Quantidade Custo unitário (R$)
Pedreiro h 2,0 20,00
Servente h 2,0 10,00
Areia m3 0,05 200,00
Cimento (saco
de 10 kg)
kg 0,5 20,00
Revestimento de
granito 40x40 cm
m2 1,0 365,00

 

Dados:

  • a empresa responsável pelo serviço recolhe 125% de encargos sociais sobre o custo da mão de obra e pratica BDI de 25%;
  • dimensões do piso da empresa de engenharia: 20 x 30 m.

O preço total para o assentamento do piso de granito na empresa de engenharia é:

 

Provas

Questão presente nas seguintes provas
3731589 Ano: 2025
Disciplina: Engenharia Civil
Banca: VUNESP
Orgão: Pref. Itatiba-SP
Provas:

Para o dimensionamento do projeto de instalações elétricas de uma casa, a potência mínima de tomadas de uso geral para uma sala retangular com 8,0 m de largura e 12,0 m de comprimento é

 

Provas

Questão presente nas seguintes provas
3731588 Ano: 2025
Disciplina: Engenharia Civil
Banca: VUNESP
Orgão: Pref. Itatiba-SP
Provas:

Para o projeto das instalações elétricas de uma edificação, as dimensões internas dos eletrodutos e de suas conexões devem permitir que, após montagem da linha, os condutores possam ser instalados e retirados com facilidade. Os eletrodutos especificados para a passagem de três condutores deverão ser dimensionados para que a sua taxa de ocupação seja de, no máximo,

 

Provas

Questão presente nas seguintes provas
3731587 Ano: 2025
Disciplina: Engenharia Hidráulica
Banca: VUNESP
Orgão: Pref. Itatiba-SP
Provas:

Para o sistema de abastecimento de água de uma nova área de expansão urbana de um município brasileiro, será necessário projetar um reservatório que deverá receber a vazão de 25 litros/segundo de água. A potência necessária de uma bomba centrífuga a ser utilizada no sistema de abastecimento é:

Dados:

– altura manométrica prevista do projeto = 48 m;

– rendimento da bomba centrífuga a ser utilizada = 80%.

 

Provas

Questão presente nas seguintes provas