Foram encontradas 785 questões.


Considerando o exposto pelo texto, analise as assertivas a seguir:
I. O autor do texto se coloca no grupo de pessoas que sofreram os prejuízos causados pela indústria do tabaco.
II. O vício em cigarros se caracteriza como uma doença que atinge principalmente menores de idade.
III. Os veículos de comunicação eram obrigados a ocultar informações negativas a respeito dos males do cigarro.
Quais estão corretas?
Provas
Questão presente nas seguintes provas


Provas
Questão presente nas seguintes provas
Em uma escola, foi realizada uma pesquisa entre os alunos para saber a quais canais
de YouTube eles costumam assistir. O resultado foi o seguinte:
• 40% dos alunos assistem ao canal “Falando”. • 37% dos alunos assistem ao canal “Pois é”. • 17% dos alunos assistem a ambos os canais.
Com base nesses dados, qual é o percentual de alunos que não assistem a nenhum dos dois canais?
• 40% dos alunos assistem ao canal “Falando”. • 37% dos alunos assistem ao canal “Pois é”. • 17% dos alunos assistem a ambos os canais.
Com base nesses dados, qual é o percentual de alunos que não assistem a nenhum dos dois canais?
Provas
Questão presente nas seguintes provas
Um atleta correu 5 voltas completas ao redor de uma pista circular, percorrendo ao
todo 4.710 m. Qual é a medida, em metros, do diâmetro dessa pista? (Considere π = 3,14)
Provas
Questão presente nas seguintes provas
Uma influenciadora digital observou que, em março, tinha 30% mais seguidores do
que em fevereiro. Sabendo que, em março, ela atingiu 26.000 seguidores, qual era o número de
seguidores em fevereiro?
Provas
Questão presente nas seguintes provas
Três números formam uma progressão aritmética (PA) e sua soma é igual a 48. Qual
é o valor do segundo termo dessa PA?
Provas
Questão presente nas seguintes provas
A chácara de Marina tem um terreno retangular que mede 40 m por 25 m. Ela quer
usar 20% dessa área para construir um galpão também retangular, cujo comprimento será de 16 m.
Qual será a largura, em metros, desse galpão?
Provas
Questão presente nas seguintes provas
Uma fábrica recebeu uma carga de azeite de oliva armazenada em 25 tambores com
200 litros cada. Sabendo que o produto será fracionado em frascos de 0,50 dm³ cada, qual será a
quantidade total de frascos produzidos?
Provas
Questão presente nas seguintes provas
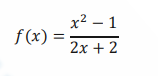
Considerando a função real a seguir, na qual todo x ≠ −1, qual é o valor da função
no ponto x = 5 ?


Provas
Questão presente nas seguintes provas
Qual é o próximo termo da sequência lógica abaixo?
2, 5, 10, 17, 26, ...
Provas
Questão presente nas seguintes provas
Cadernos
Caderno Container