Magna Concursos

Foram encontradas 488 questões.

3524920 Ano: 2024
Disciplina: Matemática
Banca: ADM&TEC
Orgão: Pref. Iguaracy-PE

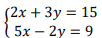
Considerando que:

Enunciado 4066630-1

Qual é o valor do dobro da soma entre x e y?

 

Provas

Questão presente nas seguintes provas
3524919 Ano: 2024
Disciplina: Matemática
Banca: ADM&TEC
Orgão: Pref. Iguaracy-PE
Qual é a única informação verdadeira a respeito da raiz da equação log2(x − 3) + log2(x + 1) = 3?
 

Provas

Questão presente nas seguintes provas
3524918 Ano: 2024
Disciplina: Matemática
Banca: ADM&TEC
Orgão: Pref. Iguaracy-PE

A solução da equação 2x 2 − 4x − 6 = 0 é formada por:

 

Provas

Questão presente nas seguintes provas
3524917 Ano: 2024
Disciplina: Matemática
Banca: ADM&TEC
Orgão: Pref. Iguaracy-PE
Uma pessoa paga R$ 500,00 por mês de aluguel. Após um aumento de 5% no valor do aluguel, o valor é reajustado novamente com uma redução de 5% sobre o novo valor. Qual será o valor final do aluguel após o aumento e a redução?
 

Provas

Questão presente nas seguintes provas
3524916 Ano: 2024
Disciplina: Matemática
Banca: ADM&TEC
Orgão: Pref. Iguaracy-PE
A pressão de um gás é inversamente proporcional ao volume que ele ocupa, mantida a temperatura constante. Se a pressão de 10 atm é registrada quando o volume é 2 m3, qual será a pressão quando o volume for 5 m3?
 

Provas

Questão presente nas seguintes provas
3524915 Ano: 2024
Disciplina: Matemática Financeira
Banca: ADM&TEC
Orgão: Pref. Iguaracy-PE

Um investidor aplicou R$ 15.000,00 em um fundo de investimento que rende 1,25% ao trimestre, com juros simples. Após 4 semestres, qual o valor total da sua aplicação?

 

Provas

Questão presente nas seguintes provas
3524914 Ano: 2024
Disciplina: Matemática
Banca: ADM&TEC
Orgão: Pref. Iguaracy-PE
Em uma fábrica, a produção de 1.000 peças leva 5 horas com 3 máquinas em operação. Se forem utilizadas 2 máquinas a mais, em quanto tempo serão produzidas o dobro da quantidade de peças anterior?
 

Provas

Questão presente nas seguintes provas
3524913 Ano: 2024
Disciplina: Matemática
Banca: ADM&TEC
Orgão: Pref. Iguaracy-PE
Qual é o valor de (8/27)2/3?
 

Provas

Questão presente nas seguintes provas