Foram encontradas 35 questões.
Seu chefe pede para que você fique responsável por “lavrar” a ata da reunião. Ele na verdade está pedindo que:
Provas
Questão presente nas seguintes provas
Qual a cidade do Estado de Minas Gerais onde é tradição no dia 21 de abril sediar o governo estadual, quando ocorrem as solenidades oficiais de comemoração da Inconfidência Mineira?
Provas
Questão presente nas seguintes provas
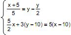
O par ordenado (x, y) é a solução do sistema

Nessas condições, determine o valor de
:

Nessas condições, determine o valor de
:Provas
Questão presente nas seguintes provas
Dada a função polinomial do 1°grau y=1-8x, determine o valor de y quando x=5,5.
Provas
Questão presente nas seguintes provas
Se 0 ≤ x < 2π e sen x= 1/ 2 , determine os possíveis valores de cos x:
Provas
Questão presente nas seguintes provas
Uma equipe de 8 peões leva 10 dias para vacinar todo o gado de uma fazenda. Quanto tempo levaria uma equipe de 20 peões?
Provas
Questão presente nas seguintes provas
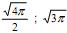
Efetue a divisão √168 : √3
Provas
Questão presente nas seguintes provas
A área de um terreno quadrado é 1.225 m² . Se o lado desse terreno mede L metros, qual é o valor de L?
Provas
Questão presente nas seguintes provas
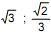
Reduzindo em uma só potência
, obtém-se:
, obtém-se:Provas
Questão presente nas seguintes provas
Calcule em
o valor numérico da expressão x+6, para x=3:
o valor numérico da expressão x+6, para x=3:Provas
Questão presente nas seguintes provas
Cadernos
Caderno Container