Foram encontradas 417 questões.
Disciplina: Biblioteconomia
Banca: VUNESP
Orgão: Pref. Francisco Morato-SP
No que diz respeito à história das bibliotecas, é correto afirmar que
Provas
Disciplina: Biblioteconomia
Banca: VUNESP
Orgão: Pref. Francisco Morato-SP
Assinale a alternativa que faz referência ao acontecimento histórico que revolucionou a história do livro:
Provas
Disciplina: Biblioteconomia
Banca: VUNESP
Orgão: Pref. Francisco Morato-SP
Sobre a definição de bibliotecas, é correto afirmar que são
Provas
Disciplina: Gerência de Projetos
Banca: VUNESP
Orgão: Pref. Francisco Morato-SP
Em projetos de engenharia realizados em AutoCAD©, é frequente o emprego de linhas e/ou arcos fazendo, para tanto, uso do comando POLYLINE. Caso haja necessidade de alterar ou editar uma polyline do projeto, faz-se uso do comando
Provas
Disciplina: Gerência de Projetos
Banca: VUNESP
Orgão: Pref. Francisco Morato-SP
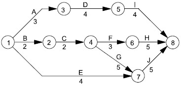
O planejamento de uma obra está representado na rede PERT/CPM a seguir.

Em que:
– Os círculos representam os eventos;
– As letras representam as atividades;
– A duração, em dias, está indicada abaixo das letras.
Considerando que a obra está prevista para ter seu início no dia 15 de dezembro do presente ano e não permite atrasos no prazo final, a atividade A poderá ser iniciada, no máximo, no dia
Provas
Disciplina: Gerência de Projetos
Banca: VUNESP
Orgão: Pref. Francisco Morato-SP
É correto afirmar que
Provas
Disciplina: Gerência de Projetos
Banca: VUNESP
Orgão: Pref. Francisco Morato-SP
As ferramentas de gestão conhecidas como PERT/CPM são utilizadas no gerenciamento de
Provas
Disciplina: Direito Constitucional
Banca: VUNESP
Orgão: Pref. Francisco Morato-SP
Com relação à Lei Orgânica do Município de Francisco Morato, os cargos em comissão e as funções de confiança serão exercidos, nos casos previstos em Lei,
Provas
Disciplina: Direito Constitucional
Banca: VUNESP
Orgão: Pref. Francisco Morato-SP
Assinale a alternativa correta e nos termos da Constituição Federal.
Provas
Disciplina: Direito Constitucional
Banca: VUNESP
Orgão: Pref. Francisco Morato-SP
Nos termos da Constituição Federal, todos são iguais perante a lei, sem distinção de qualquer natureza, garantindo-se aos brasileiros e aos estrangeiros residentes no País a inviolabilidade do direito à vida, à liberdade, à igualdade, à segurança e à propriedade, entre outros, nos termos seguintes:
Provas
Caderno Container