Foram encontradas 100 questões.
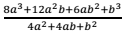
Simplificando a expressão
tem-se como resultado:
Provas
Questão presente nas seguintes provas
Um ciclista parte de um ponto inicial A percorrendo 0,5 km
em linha reta até o ponto B, girando 90° para a direita, e percorre
mais 1,2 km parando no ponto C. Se o ciclista percorresse em
linha reta do ponto A até o ponto C, percorreria:
Provas
Questão presente nas seguintes provas

Provas
Questão presente nas seguintes provas

Provas
Questão presente nas seguintes provas

Provas
Questão presente nas seguintes provas

Provas
Questão presente nas seguintes provas

Provas
Questão presente nas seguintes provas

Provas
Questão presente nas seguintes provas

Provas
Questão presente nas seguintes provas

Provas
Questão presente nas seguintes provas
Cadernos
Caderno Container