Foram encontradas 405 questões.
Qual é a origem do nome "Estância Velha"?
Provas
Questão presente nas seguintes provas
Quem foram os primeiros habitantes da região onde atualmente é Estância Velha?
Provas
Questão presente nas seguintes provas
Marcelo comprou 42 metros de fio de cobre. Ele utilizou 4/5 ara uma instalação. Quantos metros de fio sobraram?
Provas
Questão presente nas seguintes provas
Júlia é vendedora em uma loja de roupas e recebe R$ 1.000,00 fixos e mais 3% de
comissão sobre tudo o que vender. No mês de janeiro, Júlia vendeu R$ 67.000,00. O valor do salário
de Júlia no mês de janeiro foi de:
Provas
Questão presente nas seguintes provas
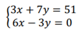
Com base no sistema de equações de 1º grau a seguir, qual é o valor de x + y?

Provas
Questão presente nas seguintes provas
Considere os seguintes dados:
A + A = 30
B - A = 17
A + B- 14 = C
O valor de 2.A + C – B é igual a:
Provas
Questão presente nas seguintes provas
О dobro do mínimo múltiplo comum entre os números 10 e 8 é igual a:
Provas
Questão presente nas seguintes provas
O número decimal que representa a fração 13/4 é:
Provas
Questão presente nas seguintes provas
Sobre a classificação das formas geométricas, analise as assertivas a seguir:
I. Os polígonos são figuras geométricas espaciais.
II. As figuras planas são aquelas que possuem duas dimensões, como o quadrado e o triângulo.
III. Para ser um polígono, as figuras devem ser planas e podem ou não ter partes arredondadas.
Quais estão corretas?
I. Os polígonos são figuras geométricas espaciais.
II. As figuras planas são aquelas que possuem duas dimensões, como o quadrado e o triângulo.
III. Para ser um polígono, as figuras devem ser planas e podem ou não ter partes arredondadas.
Quais estão corretas?
Provas
Questão presente nas seguintes provas
Quantos divisores naturais o número 36 possui?
Provas
Questão presente nas seguintes provas
Cadernos
Caderno Container