Foram encontradas 150 questões.
- FundamentosRazão e Proporção
- FundamentosSolução de Problemas
- FundamentosFrações e Números Decimais
- Álgebra
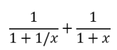
Qual o valor da soma abaixo?

Provas
Questão presente nas seguintes provas
Qual é o algarismo das unidades do número
encontrado ao multiplicarmos todos os números
naturais ímpares de 1 até o 99? Isto é, qual o algarismo
das unidades no resultado da multiplicação
1 × 3 × 5 × 7 … × 95 × 97 × 99?
1 × 3 × 5 × 7 … × 95 × 97 × 99?
Provas
Questão presente nas seguintes provas
Em uma loja de doces, 40% dos doces são
feitos com chocolate. Desses, 70% são feitos com
chocolate amargo e os outros 30% com chocolate
branco. Sabendo que temos na loja 21 doces feitos com
chocolate amargo, quantos doces temos nessa loja?
Provas
Questão presente nas seguintes provas
Na frase a seguir : "A luta a favor dos direitos das mulheres ainda é uma realidade no século XXI" , identifique qual é o termo que indica um implícito textual:
Provas
Questão presente nas seguintes provas
Assinale a alternativa incorreta:
Provas
Questão presente nas seguintes provas
Identifique a alternativa que contém uma oração coordenada assindética:
Provas
Questão presente nas seguintes provas
Todas as opções abaixo são exemplos de variação linguística, exceto:
Provas
Questão presente nas seguintes provas
Assinale a alternativa que contém um par de palavras parônimas:
Provas
Questão presente nas seguintes provas
Assinale a alternativa que contém o vocativo da frase:
Bruno, venha aqui agora!
Provas
Questão presente nas seguintes provas
Identifique o aposto na frase:
Luiza, estudante de letras, vai viajar para Bélgica.
Provas
Questão presente nas seguintes provas
Cadernos
Caderno Container