Foram encontradas 50 questões.
Em R3
, o produto vetorial de dois vetores não
paralelos é um vetor perpendicular ao plano gerado
por eles, e seu módulo é igual à área do paralelogramo
definido pelos vetores.
Provas
Questão presente nas seguintes provas
Dadas as matrizes
então o valor de x para que se tenha
Det A = Det B é 13//2
:
então o valor de x para que se tenha
Det A = Det B é 13//2
:Provas
Questão presente nas seguintes provas
Uma empresa de engenharia civil contratou um
matemático para projetar rampas de acesso a um
prédio comercial com base nas normas de
acessibilidade. Considerando que a inclinação
máxima permitida é de 8,33% e que a entrada
principal está situada a 1,5 metro acima do nível da
calçada, é correto afirmar que o comprimento mínimo
da rampa, em metros, deve ser superior a 18 metros
para obedecer à inclinação máxima permitida.
Provas
Questão presente nas seguintes provas
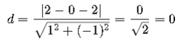
A reta y=x−2 é tangente a uma circunferência
com centro em P=(2,0).
A distância do centro à reta é:
Mas isso é incompatível com uma reta tangente. A equação da reta deveria ser reescrita e avaliada com correção.
Como o item fornece a equação incorretamente tratada e resultado incorreto, a assertiva é inválida.
A distância do centro à reta é:
Mas isso é incompatível com uma reta tangente. A equação da reta deveria ser reescrita e avaliada com correção.
Como o item fornece a equação incorretamente tratada e resultado incorreto, a assertiva é inválida.
Provas
Questão presente nas seguintes provas
As razões trigonométricas seno, cosseno e
tangente podem assumir qualquer valor real para um
triângulo retângulo.
Provas
Questão presente nas seguintes provas
Durante o processo seletivo para compor uma
equipe olímpica feminina de base, uma comissão
técnica estipulou que a média aritmética simples das
idades das 8 jogadoras deveria ser exatamente 17
anos, visando alinhamento entre maturidade
biológica e potencial técnico. Já se encontram
confirmadas 7 jogadoras, cujas idades se distribuem
da seguinte forma:
• 2 jogadoras com 16 anos, • 2 jogadoras com 17 anos, • 2 jogadoras com 18 anos, • 1 jogadora com 15 anos.
Com base nessa configuração, afirma-se que a escolha da oitava jogadora deverá recair sobre uma atleta com 22 anos, visto que a média aritmética exige o equilíbrio absoluto dos valores em relação ao centro da distribuição, e a leve assimetria negativa presente nos dados já lançados demanda uma compensação numérica superior à média-alvo, conforme o princípio de conservação da soma total e o efeito matemático de outliers de ajuste.
• 2 jogadoras com 16 anos, • 2 jogadoras com 17 anos, • 2 jogadoras com 18 anos, • 1 jogadora com 15 anos.
Com base nessa configuração, afirma-se que a escolha da oitava jogadora deverá recair sobre uma atleta com 22 anos, visto que a média aritmética exige o equilíbrio absoluto dos valores em relação ao centro da distribuição, e a leve assimetria negativa presente nos dados já lançados demanda uma compensação numérica superior à média-alvo, conforme o princípio de conservação da soma total e o efeito matemático de outliers de ajuste.
Provas
Questão presente nas seguintes provas
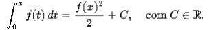
Seja f:R→R uma função contínua e diferenciável
tal que, para todo x ∈ R, verifica-se a equação
funcional:
Afirma-se que todas as soluções dessa equação são dadas exclusivamente por funções da forma:

Afirma-se que todas as soluções dessa equação são dadas exclusivamente por funções da forma:
Provas
Questão presente nas seguintes provas
Dada a equação de segunda ordem y''−3y'+2y=
e2x
, sua solução geral pode ser obtida usando
coeficientes indeterminados, cuja forma particular
assumirá yp=Ae2xy
Provas
Questão presente nas seguintes provas
O conjunto dos números complexos C é um
corpo, admite representação geométrica no plano e
possui estrutura de espaço vetorial sobre R.
Provas
Questão presente nas seguintes provas
Considere a equação diferencial:
É correto afirmar que sua solução geral pode ser expressa por:
uma vez que o fator integrante
torna a
equação diretamente integrável, e a primitiva de sin
(x) é – cos (x) o que justifica a forma apresentada da
solução.
É correto afirmar que sua solução geral pode ser expressa por:
uma vez que o fator integrante
Provas
Questão presente nas seguintes provas
Cadernos
Caderno Container